|
|
|
| The application of SOTEM method to populated areas: A case study of Fangzi coal mine goaf |
CHEN Da-Lei1,2( ), CHEN Wei-Ying3, GUO Peng1,2, WANG Run-Sheng1,2, WANG Hong-Jun1,2, ZHANG Chao1,2, MA Qi-He4, HE Chun-Yan1,2 |
1.Shandong Geophysical and Geochemical Exploration Institute, Jinan 250013, China 2.Shandong Geological Exploration Engineering Technology Research Center,Jinan 250013,China 3.Institute of Geology and Geophysics, Chinese Academy of Sciences, Beijing 100029, China 4.Shandong Zhengyuan Geological Exploration Institute, China Metallurgical Geology Bureau, Weifang 261057, China |
|
|
|
|
Abstract Transient electromagnetic method (TEM) is the main tool for detecting mined-out area. However, when the goaf is buried deep or there are many buildings in the survey area, it is often difficult for the traditional loop source device to meet the detection needs. SOTEM has such advantages as high signal amplitude, strong signal-to-noise ratio, large detection depth, and convenient and efficient construction. The buried depth of the goaf in the Fangzi coal mine in Weifang City is about 500 meters, and most of the area is in villages where houses are densely distributed. In order to effectively detect the distribution and influence range of the goaf under Jiangjia Village, the authors adopted SOTEM method to carry out the detection work. The problem of building obstacle was overcome by placing transmitting source outside the village and using portable receiving device to receive signal in the village. Wavelet denoising and five-point smoothing technology were used to filter the strong interference data, and then OCCAM method was used to carry out one-dimensional inversion of the data. The results show that the depth of SOTEM detection reached 800 meters, and the distribution range of low-resistance goaf was successfully delineated, which was later verified by drilling.
|
|
Received: 13 December 2019
Published: 26 October 2020
|
|
|
|
|
|
|
The diagram of SOTEM device
|
| 地层 | 岩性 | 厚度 | | 第四系(Q) | 褐色、棕黄色,粉沙土及沙质黏土,底部夹有钙结石及凝灰岩和片麻岩的砾石 | 0~19.5 m,平均7.92 m | 下白垩统青山组 (K1q) | 上部:凝灰质砂岩,灰绿色凝灰岩,块状构造;片麻岩、石灰岩、石英岩、馒头页岩 下部:红色砂砾岩互层 | 20~931 m,平均550.00 m 8~203.8 m,平均61.66 m | 下侏罗统坊子组 (J1f) | 本区唯一含煤地层,岩性为粗砂岩、中砂岩、细砂岩、粉砂岩,细砂岩粉砂岩互层, 煤层及岩浆岩,纯属陆相沉积,含上、中、下三层主要可采煤层 | 0~270.91 m,平均159 m | 太古宇泰山群 (Ar3t) | 花岗片麻岩为主,次为绿泥石片岩及黑云母花岗片麻岩 | 不详 |
|
Stratigraphic distribution of survey area
|
|
Layout of measurement sites and transmitting source in Jiangjia
|
| 发射源编号 | 长度/m | 控制测线 | 收发距/m | | Tx1 | 644 | JH1、JH2、JH3 | 420~646 | | Tx2 | 651 | JH4、JH5、JH6、JH7 | 312~660 | | Tx3 | 428 | JS1、JS2、JS3、JS4 | 250~595 | | Tx4 | 765 | JS5、JS6、JS7、JS8 | 637~985 |
|
The length and covered lines of each source
|
|
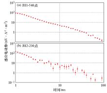
Decay curves of measured induced voltage
|
|
The signal before and after de-noising
|
|
The 1D OCCAM inversion results of site JH7-180 and JS5-500
|
|
The inversion resistivity section of line JS5
|
|
Planar distribution of resistivity contours at different depths
|
| [1] |
杨建军, 吴汉宁, 冯兵, 等. 煤矿采空区探测效果研究[J]. 煤田地质与勘探, 2006,34(1):67-70.
|
| [1] |
Yang J J, Wu H N, Feng B, et al. Research on prospecting effect for gob area of coal mines[J]. Coal Geology & Exploration, 2006,34(1):67-70.
|
| [2] |
刘飞, 胡斌, 宋丹, 等. 苏家里新村地面及建筑物裂缝成因分析[J]. 煤田地质与勘探, 2015,43(6):87-91.
|
| [2] |
Liu F, Hu B, Song D, et al. The genetic analysis of cracks of the ground and buildings in New Sujiali Village[J]. Coal Geology & Exploration, 2015,43(6):87-91.
|
| [3] |
梁爽, 李志民. 瞬变电磁法在阳泉二矿探测积水采空区效果分析[J]. 煤田地质与勘探, 2003,31(4):49-51.
|
| [3] |
Liang S, Li Z M. Analysis of the effect by using TEM detecting water filled gob area in No. 2 Mine, Yangquan Mine Group[J]. Coal Geology & Exploration, 2003,31(4):49-51.
|
| [4] |
解海军, 孟小红, 王信文, 等. 煤矿积水采空区瞬变电磁法探测的附加效应[J]. 煤田地质与勘探, 2009,37(2):71-74.
|
| [4] |
Xie H J, Meng X H, Wang X W, et al. The additional effect of TEM detection and its application in coal mined-out area with accumulated water[J]. Coal Geology & Exploration, 2009,37(2):71-74.
|
| [5] |
薛国强, 于景邨. 瞬变电磁法在煤炭领域的研究与应用新进展[J]. 地球物理学进展, 2017,32(1):319-326.
|
| [5] |
Xue G Q, Yu J C. New development of TEM research and application in coal mine exploration[J]. Progress in Geophysics, 2017,32(1):319-326.
|
| [6] |
陈卫营, 薛国强. 瞬变电磁法多装置探测技术在煤矿采空区调查中的应用[J]. 地球物理学进展, 2013,28(5):2709-2717.
|
| [6] |
Chen W Y, Xue G Q. Application on coal-mine voids detection with multi-device TEM technology[J]. Progress in Geophysics, 2013,28(5):2709-2717.
|
| [7] |
闫述, 石显新, 陈明生. 华北型煤田水文地质电法勘探的深度问题[J]. 煤炭科学技术, 2006,34(12):5-8.
|
| [7] |
Yan S, Shi X X, Chen M S. Issues on probing depth of hydrogeological electromagnetic method for exploration of North China coal field[J]. Coal Science and Technology, 2006,34(12):5-8.
|
| [8] |
薛国强, 陈卫营, 周楠楠, 等. 接地源瞬变电磁短偏移深部探测技术[J]. 地球物理学报, 2013,56(1):255-261.
|
| [8] |
Xue G Q, Chen W Y, Zhou N N, et al. Short-offset TEM technique with a grounded wire source for deep sounding[J]. Chinese Journal of Geophysics, 2013,56(1):255-261.
|
| [9] |
何继善, 薛国强. 短偏移距电磁探测技术概述[J]. 地球物理学报, 2018,61(1):1-8.
|
| [9] |
He J S, Xue G Q. Review of the key techniques on short-offset electromagnetic detection[J]. Chinese Journal of Geophysics, 2018,61(1):1-8.
|
| [10] |
卢云飞, 薛国强, 邱卫忠, 等. SOTEM研究及其在煤田采空区中的应用[J]. 物探与化探, 2017,41(2):354-359.
|
| [10] |
Lu Y F, Xue G Q, Qiu W Z, et al. The research on SOTEM and its application in mined-out area of coal mine[J]. Geophysical and Geochemical Exploration, 2017,41(2):354-359.
|
| [11] |
陈卫营, 李海, 薛国强, 等. SOTEM数据一维OCCAM反演及其应用于三维模型的效果[J]. 地球物理学报, 2017,60(9):3667-3676.
|
| [11] |
Chen W Y, Li H, Xue G Q, et al. 1D OCCAM inversion of SOTEM data and its application to D models[J]. Chinese Journal of Geophysics, 2017,60(9):3667-3676.
|
| [12] |
Chen W Y, Xue G Q, Muhammad Y K, et al. Application of short-offset TEM (SOTEM) technique in mapping water-enriched zones of coal stratum, an example from East China[J]. Pure and Applied Geophysics, 2015,172(6):1643-1651.
|
| [13] |
Zhou N N, Xue G Q, Hou D Y, et al. Short-offset grounded-wire TEM method for efficient detection of mined-out areas in vegetation-covered mountainous coalfields[J]. Exploration Geophysics, 2017,48:374-382.
|
| [14] |
Chen W Y, Xue G Q, Afolagboye L O, et al. A comparison of loop time-domain electromagnetic and short-offset transient electromagnetic methods for mapping water-enriched zones- a case history in Shaanxi, China[J]. Geophysics, 2017,82(6):B201-B208.
|
| [15] |
陈卫营, 薛国强, 崔江伟, 等. SOTEM响应特性分析与最佳观测区域研究[J]. 地球物理学报, 2016,59(2):739-748.
|
| [15] |
Chen W Y, Xue G Q, Cui J W, et al. Study on the response and optimal obervation area for SOTEM[J]. Chinese Journal of Geophysics, 2016,59(2):739-748.
|
| [16] |
薛俊杰, 陈卫营, 王贺元. 电性源短偏移距瞬变电磁探测深度分析与应用[J]. 物探与化探, 2017,41(2):381-384.
|
| [16] |
Xue J J, Chen W Y, Wang H Y. Analysis and application of the detection depth of electrical soure short-offset TEM[J]. Geophysical and Geochemical Exploration, 2017,41(2):381-384.
|
| [17] |
张书凡, 张宁, 刘鸿福. 基于小波分析的瞬变电磁信号消噪[J]. 物探与化探, 2007,31(S):63-65.
|
| [17] |
Zhang S F, Zhang N, Liu H F. Noise elimination of transient electromagnetic (TEM) signal based on wavelet analysis[J]. Geophysical and Geochemical Exploration, 2007,31(S):63-65.
|
| [18] |
Constable S C, Parker R L, Constable C G. OCCAM’s inversion:A practical algorithm for generation smooth models from electromagnetic sounding data[J]. Geophysics, 1987,52(3):289-300.
|
|
|
|