|
|
|
| Exploring the Rayleigh wave propagation characteristics in different aggregate concrete models |
XIANG Zhu-Bao1,2( ), ZHANG Da-Zhou1,3( ), ZHU De-Bing1,3, LI Ming-Zhi4, XIONG Zhang-Qiang3 |
1. National Engineering Research Center of High-speed Railway Construction Technology, Changsha 410075, China 2. China Railway Group Limited, Beijing 100039, China 3. Central South University, School of Geosciences and Info-physics, Changsha 410083, China 4. Guangxi Communications Design Group Co., Ltd. Nanning 530029, China |
|
|
|
|
Abstract To avoid aggregate interference on the detection target in concrete quality detection by Rayleigh waves, the abnormal signals from the aggregate and the target should be distinguished for high detection reliability. Hence, this study explored the propagation characteristics of Rayleigh waves in aggregate concrete. By building the mesostructural random aggregate models and employing the high-order staggered-grid finite difference scheme, this study examined the effects of the randomness, shape, size, and content of aggregate on the Rayleigh wave field and dispersion curves, thus obtaining the Rayleigh wave scattering, energy attenuation, distortion, and dispersion curve characteristics under different aggregate parameters. Based on the forward modeling data of different aggregate concrete models, this study quantitatively analyzed the sizes and influence ranges of aggregate-induced anomalies of the Rayleigh wave field and dispersion curves. The results are as follows. The randomness and content of aggregate could affect the energy attenuation of direct Rayleigh waves. The Rayleigh wave field was slightly influenced by the aggregate shape but significantly impacted by the aggregate size. When the aggregate size exceeded half of the dominant wavelength, Rayleigh waves would produce strong scattering, distorting its waveforms. In contrast, these aggregate parameters caused no anomalies in the dispersion curves. Therefore, data analysis using dispersion curves can avoid aggregate interference on the target in concrete quality detection by Rayleigh waves.
|
|
Received: 06 March 2023
Published: 27 October 2023
|
|
|
|
Corresponding Authors:
ZHANG Da-Zhou
E-mail: zhubaoxiang2022@163.com;dazhou2010@csu.edu.cn
|
|
|
|
|
Aggregate numerical model of three shapes
|
| 项目 | vp/(m·s-1) | vs/(m·s-1) | ρ/(kg·m-3) | | 水泥砂浆 | 3950 | 2250 | 2050 | | 骨料 | 4400 | 2500 | 2610 |
|
Material parameters of concrete
|
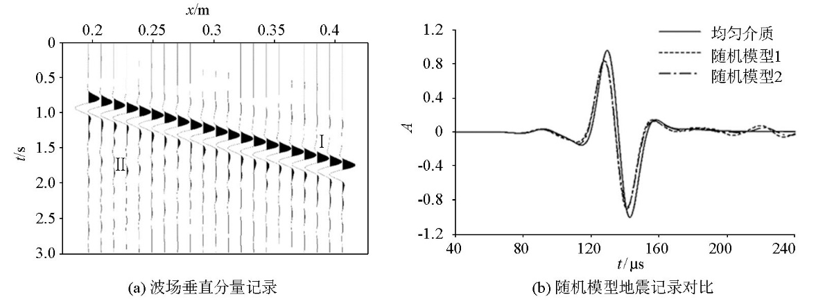
|
Seismic records of random model
|
随机 模型 | 散射瑞利波 | 直达瑞利波 | | 最大振幅/% | 总振幅/% | 衰减量/% | 形变量/% | | 模型1 | 8.0 | 13.2 | 9.9 | 4.4 | | 模型2 | 5.5 | 10.9 | 12.2 | 3.5 | | 模型3 | 8.4 | 14.4 | 10.7 | 2.4 | | 模型4 | 8.6 | 14.9 | 5.6 | 6.4 | | 误差/% | 3.1 | 4.0 | 6.6 | 4.0 |
|
Influence for wave field of aggregate randomness
|
|
Dispersion comparison chart of random model
|
|
Waveform comparison chart of different shape aggregate
|
骨料 形状 | 散射瑞利波 | 直达瑞利波 | | 最大振幅/% | 总振幅/% | 衰减量/% | 形变量/% | | 椭圆形 | 7.3 | 12.8 | 10.6 | 4.3 | | 圆形 | 8.3 | 14.2 | 9.2 | 6.0 | | 多边形 | 7.0 | 13.8 | 9.8 | 3.8 | | 误差/% | 1.3 | 1.4 | 1.4 | 2.2 |
|
Influence for wave field of aggregate shape
|
|
Dispersion comparison chart of different shape aggregate
|
|
Waveform comparison chart of different diameter aggregate
|
骨料粒 径/mm | 散射瑞利波 | 直达瑞利波 | | 最大振幅/% | 总振幅/% | 衰减量/% | 形变量/% | | 12 | 6.0 | 10.5 | 9.2 | 4.1 | | 24 | 7.3 | 12.2 | 10.9 | 3.4 | | 50 | 9.4 | 16.8 | 7.9 | 6.2 | | 75 | 14.2 | 29.4 | 9.2 | 14.7 | | 误差/% | 8.2 | 18.9 | 3.0 | 11.3 |
|
Influence for wave field of aggregate diameter
|
|
Dispersion comparison chart of different diameter aggregate
|
|
Waveform comparison chart of different aggregate content
|
| Pk | 散射瑞利波 | 直达瑞利波 | | 最大振幅/% | 总振幅/% | 衰减量/% | 形变量/% | | 0.3 | 9.4 | 16.2 | 10.1 | 5.9 | | 0.6 | 8.5 | 19.0 | 14.5 | 4.7 | | 误差/% | 0.9 | 2.8 | 4.4 | 1.2 |
|
Influence for wave field of aggregate content
|
|
Dispersion comparison chart of different aggregate content
|
|
Comparison of anomalous dispersion curves caused by changes in cavity size
|
|
Comparison of anomalous dispersion curves caused by changes in cavity depth
|
| [1] |
尚新想, 谢友均, 马昆林, 等. 基于应力波的混凝土抗压强度无损检测试验研究[J]. 铁道科学与工程学报, 2022, 19(8):2305-2312.
|
| [1] |
Shang X X, Xie Y J, Ma K L, et al. Experimental study on nondestructive testing of concrete compressive strength based on stress wave[J]. Journal of Railway Science and Engineering, 2022, 19(8):2305-2312.
|
| [2] |
姜勇, 吴佳晔, 马永强, 等. 基于冲击弹性波的隧道衬砌混凝土强度检测技术研究和应用[J]. 铁道建筑, 2020, 60(6):1-5,11.
|
| [2] |
Jiang Y, Wu J H, Ma Y Q, et al. Research and application of tunnel lining concrete strength detection technology based on shock elastic wave[J]. Railway Engineering, 2020, 60(6):1-5,11.
|
| [3] |
姚菲, 陆幸奇, 陈光宇. 基于冲击回波法的混凝土—围岩缺陷检测与信号处理研究[J]. 铁道科学与工程学报, 2021, 18(9):2316-2323.
|
| [3] |
Yao F, Lu X Q, Chen G Y. Experimental and signal processing research on concrete-rock structural defects by impact-echo method[J]. Journal of Railway Science and Engineering, 2021, 18(9):2316-2323.
|
| [4] |
王庆彦, 王浩丞, 郁明理. 无损检测技术在混凝土性能检测中的应用[J]. 中国建材科技, 2022, 31(3):134-136.
|
| [4] |
Wang Q Y, Wang H C, Yu M L. Application of nondestructive testing technology in concrete performance inspection[J]. China Building Materials Science & Technology, 2022, 31(3):134-136.
|
| [5] |
Potapov A I, Shikhov A I, Dunaeva E N. Nondestructive quality testing of concrete and asphalt concrete pavements[J]. Journal of Physics:Conference Series, 2021, 1753(1):012053.
|
| [6] |
杨道煌, 刘江平, 程飞, 等. 超声面波法在混凝土强度检测中的应用研究[J]. 物探与化探, 2020, 44(3):626-634.
|
| [6] |
Yang D H, Liu J P, Cheng F, et al. The application of ultrasonic surface wave method to concrete strength testing[J]. Geophysical and Geochemical Exploration, 2020, 44(3) :626-634.
|
| [7] |
刘杨, 邵志伟, 张慧杰, 等. 钢管混凝土密实度超声波层析成像无损检测研究[J]. 工业建筑, 2021, 51(10):189-200.
|
| [7] |
Liu Y, Shao Z W, Zhang H J, et al. Research on nondestructive testing of CFST by ultrasonic tomography[J]. Industrial Construction, 2021, 51(10):189-200.
|
| [8] |
李军伟, 徐飞, 王兵, 等. 混凝土不同骨料粒径对声发射检测的影响[J]. 山东大学学报:工学版, 2021, 51(5):84-90.
|
| [8] |
Li J W, Xu F, Wang B, et al. Influence of concrete aggregate particle size on acoustic emission detection[J]. Journal of Shandong University: Engineering Science, 2021, 51(5):84-90.
|
| [9] |
刘豪, 侯德鑫, 郑刚兵, 等. 基于热成像的钢管混凝土脱空检测技术研究[J]. 红外技术, 2021, 43(11):1119-1126.
|
| [9] |
Liu H, Hou D X, Zheng G B, et al. Infrared thermography-based void detection technology for concrete-filled steel tubes[J]. Infrared Technology, 2021, 43(11):1119-1126.
|
| [10] |
杨相如. 瑞雷波在台涵背填筑质量控制中的应用[J]. 地下空间与工程学报, 2019, 15(2):505-512.
|
| [10] |
Yang X R. Application of Rayleigh wave in the back filling of abutment in Quality Control[J]. Chinese Journal of Underground Space and Engineering, 2019, 15(2):505-512.
|
| [11] |
罗广衡, 潘坚文, 王进廷. 瑞利波法检测混凝土表面裂缝深度的影响因素研究[J]. 水利水电技术, 2021, 52(9):165-171.
|
| [11] |
Luo G H, Pan J W, Wang J T. Study on influencing factors of detecting surface crack depth with Rayleigh wave detection method[J]. Water Resources and Hydropower Engineering, 2021, 52(9):165-171.
|
| [12] |
童凯, 周建庭, 张森华, 等. 基于激光激发瑞利波的混凝土表面裂缝检测[J]. 中国科技论文, 2022, 17(6):667-672.
|
| [12] |
Tong K, Zhou J T, Zhang S H, et al. Crack detection of concrete surface based on laser excited Rayleigh wave[J]. China Science Paper, 2022, 17(6):667-672.
|
| [13] |
贺会团, 张献民, 赵维炳. 瞬态瑞雷面波检测碎石桩复合地基承载力研究[J]. 岩土工程学报, 2006, 28(8):1039-1043.
|
| [13] |
He H T, Zhang X M, Zhao W B. Studies on capacity of gravel-piled compound detected by transient Rayleigh surface wave[J]. Chinese Journal of Geotechnical Engineering, 2006, 28(8):1039-1043.
|
| [14] |
袁士川, 宋先海, 张学强, 等. 黏弹性介质瑞雷波有限差分模拟与特性分析[J]. 地球物理学报, 2018, 61(4):1496-1507.
|
| [14] |
Yuan S C, Song X H, Zhang X Q, et al. Finite-difference modeling and characteristics analysis of Rayleigh waves inviscoelastic media[J]. Chinese J Geophys, 2018, 61(4):1496-1507.
|
| [15] |
Wu T T, Sun J H, Tong J H. On the study of elastic wave scattering and Rayleigh wave velocity measurement of concrete with steel bar[J]. NDT&E International, 2000, 33(6):401-407.
|
| [16] |
Zerwer A, Polak M A, Santamarina J C. Detection of surface breaking cracks in concrete members using Rayleigh waves[J]. Journal of Environmental & Engineering Geophysics, 2012, 10(3):295-306.
|
| [17] |
Aggelis D G, Shiotani T. Repair evaluation of concrete cracks using surface and through-transmission wave measurements[J]. Cement & Concrete Composites, 2007, 29(9):700-711.
|
| [18] |
Kim G, In C W, Kim J Y, et al. Air-coupled detection of nonlinear Rayleigh surface waves in concrete:Application to microcracking detection[J]. NDT&E International, 2014, 67(8):64-70.
|
| [19] |
练小聪. 混凝土介质中瑞雷面波传播特性的研究[D]. 长沙: 中南大学, 2014:43-46.
|
| [19] |
Lian X C. The study of Rayleigh wave propagation characteristics of the concrete medium[D]. Changsha: Central South University, 2014:43-46.
|
| [20] |
董良国, 马在田, 曹景忠, 等. 一阶弹性波方程交错网格高阶差分解法[J]. 地球物理学报, 2000, 43(3):411-419.
|
| [20] |
Dong L G, Ma Z T, Cao J Z, et al. A staggered-grid high order difference method of one-order elastic wave equation[J]. Chinese Journal of Geophysics, 2000, 43(3):411-419.
|
| [21] |
Xu Y X, Xia J H, Miller R D. Numerical investigation of implementation of air-earth boundary by acoustic-elastic boundary approach[J]. Geophysics, 2007, 72(5):147-153.
|
| [22] |
孙卫涛. 弹性波动方程的有限差分数值方法[M]. 北京: 清华大学出版社, 2009:56-59.
|
| [22] |
Sun W T. Finite difference method for elastic wave equation[M]. Beijing: Tsinghua University Press, 2009:56-59.
|
| [23] |
熊章强, 张大洲, 秦臻, 等. 瑞雷波数值模拟中的边界条件及模拟实例分析[J]. 中南大学学报:自然科学版, 2008, 39(4):824-830.
|
| [23] |
Xiong Z Q, Zhang D Z, Qin Z, et al. Boundary conditions and case analysis of numerical modeling of Rayleigh wave[J]. Journal of Central South University:Science and Technology, 2008, 39(4):824-830.
|
| [24] |
高政国, 刘光廷. 二维混凝土随机骨料模型研究[J]. 清华大学学报:自然科学版, 2004, 43(5):710-714.
|
| [24] |
Gao Z G, Liu G T. Two-dimensional random aggregate structure for concrete[J]. Journal of Tsinghua University:Science and Tech-nology, 2004, 43(5):710-714.
|
| [25] |
Walraven, Reinhardt. Theory and experiments on the mechanical behavior of cracks in plain and reinforced concrete subject to shear loading[J]. Heron, 1991, 26(1A):26-35.
|
| [26] |
张剑, 金南国, 金贤玉, 等. 混凝土多边形骨料分布的数值模拟方法[J]. 浙江大学学报:工学版, 2004, 38(5):581-585.
|
| [26] |
Zhang J, Jin N G, Jin X Y, et al. Numerical simulation method for polygonal aggregate distribution in concrete[J]. Journal of Zhejiang University:Engineering Science, 2004, 38(5):581-585.
|
| [27] |
Schubert F, Schechinger B. Numerical modeling of acoustic emission sources and wave propagation in concrete[J]. Journal of Nondestructive Testing:Germany, 2002, 7(9):1-8.
|
| [28] |
Park C B, Miller R D, Xia J. Imaging dispersion curves of surface waves on multi-channel record[C]// SEG Expanded Abstracts, 1998, 17(1):1377-1380.
|
| [1] |
LI Chuan-Jin, WANG Qiang, JIAN Xiang, ZHENG Tao, ZHAN Su-Hua, CHEN Shao-Wei. Microtremor signal simulation and its application in microtremor exploration[J]. Geophysical and Geochemical Exploration, 2023, 47(4): 1040-1047. |
| [2] |
LI Xin-Xin, LI Jiang, LIU Jun, SHEN Hong-Yan. Processing of the seismic Rayleigh wave data of coalfields based on the improved phase-shift method[J]. Geophysical and Geochemical Exploration, 2022, 46(6): 1470-1476. |
|
|
|
|