|
|
|
| Log-based lithology identification of volcanic rocks using random forest method: A case study of Carboniferous strata in the Dixi area, Junggar Basin |
SHANG Ya-Zhou1( ), ZHANG Zhao-Hui1( ), XU Duo-Nian2, ZHAO Wen-Wen1, CHEN Hua-Yong3, HAN Hai-Bo1 |
1. School of Geological and Mining Engineering, Xinjiang University, Urumqi 830047, China 2. Research Institute of Petroleum Exploration and Development-Northwest (NWGI), PetroChina, Lanzhou 730020, China 3. Research Institute of Exploration and Development, PetroChina Xinjiang Oilfield Company, Karamay 834000, China |
|
|
|
|
Abstract The accurate lithologyidentification of volcanic rocksserves as a significant foundation for the efficient exploration and exploitation of volcanic reservoirs. However, volcanic reservoirs exhibit intricate lithologies, longitudinalmultistagesuperimposition, and fast transverse phase transition, which reduce the accuracy of crossplots in lithologyidentification ofvolcanic reservoirs. Based on the optimal parameter combination of the model determined through grid search and orthogonal experiments, this study quantitatively evaluatedthe effects of conventional log curves on the lithologyidentification of volcanic rocks. Withthe natural gamma ray, compensated neutron, sonic interval transit time, and formation resistivity as lithologic indicators, this study builtan intelligent model for the lithology identification of Carboniferous volcanic rocks in the Dixi area in the Junggar Basin using therandom forest method. This study identified the lithologies of thecored intervalswith a cumulative thickness of 870 m infive cored wells in the study area, with the coincidence ratesof the identification results with thin section identification results and core description resultsreaching 76.67% and 85.98%, respectively. This suggestssignificant identification effects. Therefore, this studysets the stagefor the fine-scale evaluation of volcanic reservoirs in the study area.
|
|
Received: 08 July 2023
Published: 19 September 2024
|
|
|
|
|
|
|
Geographical location of the study area
|
|
Comprehensive column chart of lithology and stratigraphy in the study area
|
| 岩性标签 | 岩性 | 岩石 薄片数 | 占比/% | 钻井取心累 计长度/m | 占比/% | | 1 | 凝灰岩 | 185 | 31.04 | 74.8 | 17.72 | | 2 | 二长玢岩 | 38 | 6.38 | 11.52 | 2.73 | | 3 | 花岗斑岩 | 86 | 14.43 | 125 | 29.61 | | 4 | 安山岩 | 93 | 15.60 | 68.96 | 16.34 | | 5 | 玄武岩 | 95 | 15.94 | 97.83 | 23.18 | | 6 | 霏细岩 | 7 | 1.17 | 3.98 | 0.94 | | 7 | 流纹岩 | 17 | 2.85 | 0.89 | 0.21 | | 8 | 霏细斑岩 | / | / | 6.4 | 1.52 | | 0 | 火山角砾岩 | 61 | 10.23 | 23.13 | 5.48 | | 10 | 其他 | 14 | 2.35 | 9.6 | 2.27 |
|
Statistical of the distribution of thin slices and drilling cores with different lithology rocks
|
|
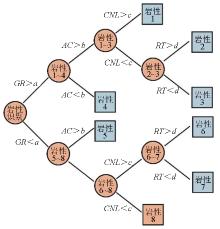
Schematic diagram of decision tree principle
|
|
Schematic diagram of random forest principle
|
| 岩性标签 | 岩性 | 样本数 | 占比/% | | 1 | 凝灰岩 | 654 | 33.08 | | 2 | 二长玢岩 | 160 | 8.09 | | 3 | 花岗斑岩 | 539 | 27.26 | | 4 | 安山岩 | 214 | 10.82 | | 5 | 玄武岩 | 215 | 10.88 | | 6 | 霏细岩 | 42 | 2.12 | | 7 | 流纹岩 | 106 | 5.36 | | 8 | 霏细斑岩 | 47 | 2.38 | | / | 汇总 | 1977 | / |
|
Statistical of the distribution of the different lithological samples in the dataset
|
|
Cross plot of 2D lithology identification with different logging parameters
|
|
Intersection diagram of 3D lithology identification with different logging parameters
|
|
Parameters tuning for random forest
|
| 参数 | 搜索范围 | 步长 | 最优值 | | 迭代次数 | 2~230 | 2 | 14 | | 内部节点再划分所需最小样本数 | 2~50 | 2 | 4 | | 叶子结点最小样本数 | 1~50 | 1 | 1 | | 最大树深度 | 3~15 | 1 | 6 |
|
Parameters tuning for random forest
|
|
Comparison of different lithology identification results
|
|
Comparison of confusion matrix for different lithology identification models
|
| 岩性标签 | 岩性 | SVM | KNN | DT | RF | | 1 | 凝灰岩 | 0.91 | 0.93 | 0.96 | 0.98 | | 2 | 二长玢岩 | 0.48 | 0.86 | 0.80 | 0.94 | | 3 | 花岗斑岩 | 1 | 1 | 0.98 | 1 | | 4 | 安山岩 | 0.92 | 0.92 | 0.91 | 0.95 | | 5 | 玄武岩 | 0.95 | 0.94 | 0.97 | 0.96 | | 6 | 霏细岩 | 1 | 0.80 | 1 | 1 | | 7 | 流纹岩 | 1 | 1 | 1 | 0.98 | | 8 | 霏细斑岩 | 0 | 0.44 | 0.93 | 0.92 |
|
Fl_score of different lithology identification models
|
| 井号 | 岩性识别长度 /m | 岩石薄片 | 钻井取心 | | 识别正确/块 | 识别错误/块 | 准确性/% | 识别正确/m | 识别错误/m | 准确性/% | | dx182 | 400 | 41 | 22 | 65.08 | 7.18 | 3.5 | 67.23 | | dx183 | 270 | 17 | 1 | 94.44 | 12.56 | 5.12 | 71.04 | | dx402 | 80 | 8 | 2 | 80.00 | 16.93 | - | 100.00 | | dx17 | 20 | 9 | 1 | 90.00 | 8.7 | - | 100.00 | | dx172 | 100 | 17 | 2 | 89.47 | 7.48 | - | 100.00 | | 统计 | 870 | 92 | 28 | 76.67 | 52.85 | 8.62 | 85.98 |
|
Lithological identification results of random forest models with different well
|
|
Comparison of classification results from different volcanic rock lithology identification models for well dx402
|
| [1] |
张艺, 李道清, 仇鹏, 等. 基于岩性分类的火山岩储层流体识别方法——以克拉美丽气田石炭系火山岩为例[J]. 西安石油大学学报:自然科学版, 2020, 35(6):22-29.
|
| [1] |
Zhang Y, Li D Q, Qiu P, et al. Study on fluid identification method of volcanic reservoir based on lithology classification:A case study of carboniferous volcanic rocks in kelameigasfield[J]. Journal of Xi’an Shiyou University:Natural Science Edition, 2020, 35(6):22-29.
|
| [2] |
刘小洪, 李宁辛, 冯明友, 等. 裂缝充填矿物和蚀变晕对火山岩储集层流体作用的指示——以克拉美丽气田滴西地区为例[J]. 矿物岩石地球化学通报, 2019, 38(3):539-548.
|
| [2] |
Liu X H, Li N X, Feng M Y, et al. Fracture fillings and alteration halo in volcanic reservoirs as indicator of fluid activities in the dixi area in the kelameili gas field,Junggar Basin,northwestern China[J]. Bulletin of Mineralogy,Petrology and Geochemistry, 2019, 38(3):539-548.
|
| [3] |
谭开俊, 卫平生, 潘建国, 等. 火山岩地震储层学[J]. 岩性油气藏, 2010, 22(4):8-13,19.
|
| [3] |
Tan K J, Wei P S, Pan J G, et al. Volcanic seismic reservoir[J]. Lithologic Reservoirs, 2010, 22(4):8-13,19.
|
| [4] |
Zhang H X, Chen S J, Huang H, et al. Mixing ratios quantitative assessment of source-mixed gas reservoirs by carbon isotope analysis in Dinan Uplift,Junggar Basin,China[J]. Petroleum Science and Technology, 2016, 34(19):1636-1641.
|
| [5] |
Zhang Z H, Yu H G, Chen H Y, et al. Quantitative characterization of fracture-pore distribution and effects on production capacity of weathered volcanic crust reservoirs:Insights from volcanic gas reservoirs of the Dixi Area,Junggar Basin,Western China[J]. Marine and Petroleum Geology, 2022, 140:105651.
|
| [6] |
周动力, 董青松. 火成岩油气储层特征及形成浅析[J]. 岩性油气藏, 2010, 22(4):80-84.
|
| [6] |
Zhou D L, Dong Q S. Analysis on features and formation of igneous reservoirs[J]. Lithologic Reservoirs, 2010, 22(4):80-84.
|
| [7] |
Zhang K L, Wang Z L, Jiang Y Q, et al. Effects of weathering and fracturing on the physical properties of different types of volcanic rock:Implications for oil reservoirs of the Zhongguai relief,Junggar Basin,NW China[J]. Journal of Petroleum Science and Engineering, 2020, 193:107351.
|
| [8] |
Guo Y H, Pan B Z, Zhang L H, et al. A study on water saturation predictions in igneous reservoirs based on the relationship between the transverse relaxation time and the resistivity index[J]. Journal of Petroleum Science and Engineering, 2022, 208:109519.
|
| [9] |
Han R Y, Wang Z W, Wang W H, et al. Lithology identification of igneous rocks based on XGboost and conventional logging curves,a case study of the eastern depression of Liaohe Basin[J]. Journal of Applied Geophysics, 2021, 195:104480.
|
| [10] |
Ao Y L, Zhu L P, Guo S, et al. Probabilistic logging lithology characterization with random forest probability estimation[J]. Computers & Geosciences, 2020, 144:104556.
|
| [11] |
Ma X H, Yang Y, Zhang J, et al. A major discovery in Permian volcanic rock gas reservoir exploration in the Sichuan Basin and its implications[J]. Natural Gas Industry B, 2019, 6(4):419-425.
|
| [12] |
Yu Y L, Xu H B, Bai Y, et al. CT-based 3D pore-fracture network analysis of volcanic reservoirs of Lower Cretaceous Yingcheng Formation in southern Songliao Basin,China:Impact on natural gas migration[J]. Geoenergy Science and Engineering, 2023, 223:211581.
|
| [13] |
周萍. 王府断陷火石岭组火山岩岩性及岩相识别[J]. 断块油气田, 2020, 27(2):188-192.
|
| [13] |
Zhou P. Identification of volcanics reservoir lithology and lithofacies in Huoshiling Formation of Wangfu fault depression[J]. Fault-Block Oil & Gas Field, 2020, 27(2):188-192.
|
| [14] |
匡立春, 董政, 孙中春, 等. 基于元素俘获谱测井计算火山岩储集层孔隙度的方法[J]. 新疆石油地质, 2009, 30(3):287-288,296.
|
| [14] |
Kuang L C, Dong Z, Sun Z C, et al. Method for calculation of volcanic reservoir porosity based on ECS log[J]. Xinjiang Petroleum Geology, 2009, 30(3):287-288,296.
|
| [15] |
黄棱, 张玉林, 王玉宏, 等. 速度优化与建模技术在德惠断陷火山岩成像中的应用[J]. 石油地球物理勘探, 2017, 52(S1):34-40,6.
|
| [15] |
Huang L, Zhang Y L, Wang Y H, et al. Application of velocity optimization and modeling technology in volcanic rock imaging in Dehui fault depression[J]. Oil Geophysical Prospecting, 2017, 52(S1):34-40,6.
|
| [16] |
叶涛, 韦阿娟, 邓辉, 等. 基于常规测井资料的火山岩岩性识别方法研究——以渤海海域中生界为例[J]. 地球物理学进展, 2017, 32(4):1842-1848.
|
| [16] |
Ye T, Wei A J, Deng H, et al. Study on volcanic lithology identification methods based on the data of conventional well logging data:A case from Mesozoic volcanic rocks in Bohai Bay Area[J]. Progress in Geophysics, 2017, 32(4):1842-1848.
|
| [17] |
张丽华, 张国斌, 齐艳萍, 等. 准噶尔盆地西泉地区石炭系火山岩岩性测井识别[J]. 新疆石油地质, 2017, 38(4):427-431.
|
| [17] |
Zhang L H, Zhang G B, Qi Y P, et al. Lithology identification of carboniferous volcanic rock with logging data in xiquan area,Junggar Basin[J]. Xinjiang Petroleum Geology, 2017, 38(4):427-431.
|
| [18] |
冯梓岩, 殷文, 钟云滔, 等. 基于常规测井的火成岩岩性识别方法——以准噶尔盆地西北缘红车断裂带石炭系火成岩储层为例[J]. 东北石油大学学报, 2021, 45(5):95-108.
|
| [18] |
Feng Z Y, Yin W, Zhong Y T, et al. Lithology identification method of igneous rock based on conventional logging—Takingcarboniferous igneous rock reservoir of Hongche fault zone in northwest margin of Junggar Basin as an example[J]. Journal of Northeast Petroleum University, 2021, 45(5):95-108.
|
| [19] |
Liu M, Hu S, Zhang J, et al. Methods for identifying complex lithologies from log data based on machine learning[J]. Unconventional Resources, 2023, 3:20-29.
|
| [20] |
许多年, 潘建国, 陈永波, 等. 地震储层学在准噶尔盆地火山岩油气勘探中的应用——以乌夏地区为例[J]. 岩性油气藏, 2010, 22(3):5-8.
|
| [20] |
Xu D N, Pan J G, Chen Y B, et al. Application of seismic reservoir to volcanic reservoir exploration in Wuxia Area of Junggar Basin[J]. Lithologic Reservoirs, 2010, 22(3):5-8.
|
| [21] |
Li Z R, Wu Y P, Kang Y, et al. Feature-depth smoothness based semi-supervised weighted extreme learning machine for lithology identification[J]. Journal of Natural Gas Science and Engineering, 2021, 96:104306.
|
| [22] |
Lan X X, Zou C C, Kang Z H, et al. Log facies identification in carbonate reservoirs using multiclass semi-supervised learning strategy[J]. Fuel, 2021, 302:121145.
|
| [23] |
Ren Q, Zhang H B, Zhang D L, et al. A framework of active learning and semi-supervised learning for lithology identification based on improved naive Bayes[J]. Expert Systems with Applications, 2022, 202:117278.
|
| [24] |
Abdulaziz A M, Mahdi H A, Sayyouh M H. Prediction of reservoir quality using well logs and seismic attributes analysis with an artificial neural network:A case study from Farrud Reservoir,Al-Ghani Field,Libya[J]. Journal of Applied Geophysics, 2019, 161:239-254.
|
| [25] |
Xia L, Zhao Y W, Yu C L, et al. Key factors controlling deep Carboniferous volcanic reservoirs in the east slope of Mahu Sag,Junggar Basin,NW China[J]. Journal of Petroleum Science and Engineering, 2023, 220:111223.
|
| [26] |
Saporetti C M, da Fonseca L G, Pereira E, et al. Machine learning approaches for petrographic classification of carbonate-siliciclastic rocks using well logs and textural information[J]. Journal of Applied Geophysics, 2018, 155:217-225.
|
| [27] |
Xiang M, Qin P B, Zhang F W. Research and application of logging lithology identification for igneous reservoirs based on deep learning[J]. Journal of Applied Geophysics, 2020, 173:103929.
|
| [28] |
Yu Z C, Wang Z Z, Zeng F C, et al. Volcanic lithology identification based on parameter-optimized GBDT algorithm:A case study in the Jilin Oilfield,Songliao Basin,NE China[J]. Journal of Applied Geophysics, 2021, 194:104443.
|
| [29] |
Mou D, Wang Z W, Tan X L, et al. A variational inequality approach with SVM optimization algorithm for identifying mineral lithology[J]. Journal of Applied Geophysics, 2022, 204:104747.
|
| [30] |
Houshmand N, GoodFellow S, Esmaeili K, et al. Rock type classification based on petrophysical,geochemical,and core imaging data using machine and deep learning techniques[J]. Applied Computing and Geosciences, 2022, 16:100104.
|
| [31] |
Wang W F, Wang Z Z, Leung J Y, et al. Petrophysical rock typing based on deep learning network and hierarchical clustering for volcanic reservoirs[J]. Journal of Petroleum Science and Engineering, 2022, 210:110017.
|
| [32] |
Gu Y F, Zhang D Y, Lin Y B, et al. Data-driven lithology prediction for tight sandstone reservoirs based on new ensemble learning of conventional logs:A demonstration of a Yanchang member,Ordos Basin[J]. Journal of Petroleum Science and Engineering, 2021, 207:109292.
|
| [33] |
王民, 杨金路, 王鑫, 等. 基于随机森林算法的泥页岩岩相测井识别[J]. 地球科学, 2023, 48(1):130-142.
|
| [33] |
Wang M, Yang J L, Wang X, et al. Identification of shale lithofacies by well logs based on random forest algorithm[J]. Earth Science, 2023, 48(1):130-142.
|
| [34] |
石新朴, 胡清雄, 解志薇, 等. 火山岩岩性、岩相识别方法——以准噶尔盆地滴南凸起火山岩为例[J]. 天然气地球科学, 2016, 27(10):1808-1816.
|
| [34] |
Shi X P, Hu Q X, Xie Z W, et al. Identification methods of volcanic lithology,lithofacies:Taking the volcanic rocks of Dinan alient in the Junggar Basin as an instance[J]. Natural Gas Geoscience, 2016, 27(10):1808-1816.
|
| [35] |
Lu J G, Luo Z Y, Zou H L, et al. Geochemical characteristics,origin,and mechanism of differential accumulation of natural gas in the carboniferous kelameili gas field in Junggar Basin,China[J]. Journal of Petroleum Science and Engineering, 2021, 203:108658.
|
| [36] |
代春萌, 曾庆才, 郭晓龙, 等. 三位一体火山岩预测技术的建立及应用——以新僵克拉美丽气田为例[J]. 地球物理学进展, 2018, 33(3):1035-1042.
|
| [36] |
Dai C M, Zeng Q C, Guo X L, et al. Establishment and application of trinity interpretation technology on volcanic rock:A case study of the Kelamieli gas field in Xinjiang[J]. Progress in Geophysics, 2018, 33(3):1035-1042.
|
| [37] |
刘小洪, 李宁辛, 冯明友, 等. 裂缝充填矿物和蚀变晕对火山岩储集层流体作用的指示——以克拉美丽气田滴西地区为例[J]. 矿物岩石地球化学通报, 2019, 38(3):539-548.
|
| [37] |
Liu X H, Li N X, Feng M Y, et al. Fracture fillings and alteration halo in volcanic reservoirs as indicator of fluid activities in the dixi area in the kelameili gas field,Junggar Basin,northwestern China[J]. Bulletin of Mineralogy,Petrology and Geochemistry, 2019, 38(3):539-548.
|
| [38] |
刘豇瑜, 郗爱华, 冉启全, 等. 准噶尔盆地滴西地区石炭系火山岩储层次生孔隙的岩相学特征及主控因素[J]. 岩性油气藏, 2012, 24(3):51-55.
|
| [38] |
Liu J Y, Xi A H, Ran Q Q, et al. Petrography characteristics and main controlling factors of secondary pores in Carboniferous volcanic reservoir in Dixi Area,Junggar Basin[J]. Lithologic Reservoirs, 2012, 24(3):51-55.
|
| [39] |
李二庭, 靳军, 王剑, 等. 准噶尔盆地克拉美丽地区石炭系天然气来源[J]. 天然气地球科学, 2020, 31(11):1515-1523.
|
| [39] |
Li E T, Jin J, Wang J, et al. Source of Carboniferous natural gas in Kelameili Area,Junggar Basin[J]. Natural Gas Geoscience, 2020, 31(11):1515-1523.
|
| [40] |
柳双权, 曹元婷, 赵光亮, 等. 准噶尔盆地陆东—五彩湾地区石炭系火山岩油气藏成藏影响因素研究[J]. 岩性油气藏, 2014, 26(5):23-29.
|
| [40] |
Liu S Q, Cao Y T, Zhao G L, et al. Influencing factors of Carboniferous volcanic reservoir in Ludong-Wucaiwan Area,Junggar Basin[J]. Lithologic Reservoirs, 2014, 26(5):23-29.
|
| [41] |
刘小洪, 冯明友, 郗爱华, 等. 克拉美丽气田滴西地区石炭系火山岩储层成岩作用及孔隙演化[J]. 岩性油气藏, 2016, 28(1):38-48.
|
| [41] |
Liu X H, Feng M Y, Xi A H, et al. Diagenesis and pore evolution of Carboniferous volcanic reservoirs in Dixi Area,Kelameili Gas Field[J]. Lithologic Reservoirs, 2016, 28(1):38-48.
|
| [42] |
张兆辉, 杜社宽, 陈华勇, 等. 基于电成像测井的火山岩裂缝分布定量表征——以准噶尔盆地滴西地区石炭系为例[J]. 石油学报, 2018, 39(10):1130-1140.
|
| [42] |
Zhang Z H, Du S K, Chen H Y, et al. Quantitative characterization of volcanic fracture distribution based on electrical imaging logging:A case study of Carboniferous in Dixi Area,Junggar Basin[J]. Acta Petrolei Sinica, 2018, 39(10):1130-1140.
|
| [43] |
刘小洪, 王委委, 冯明友, 等. 准噶尔盆地克拉美丽气田滴西14井区石炭系蚀变凝灰岩储层热液作用过程及时限[J]. 地球科学, 2022, 47(5):1694-1710.
|
| [43] |
Liu X H, Wang W W, Feng M Y, et al. Hydrothermal process and duration of carboniferous altered tuff reservoir in well dixi 14 area of kelameili gas field(Junggar basin),NW China[J]. Earth Science, 2022, 47(5):1694-1710.
|
| [44] |
熊益学, 郗爱华, 冉启全, 等. 滴南凸起区石炭系火山岩岩性特征及其意义[J]. 岩性油气藏, 2011, 23(6):62-68.
|
| [44] |
Xiong Y X, Xi A H, Ran Q Q, et al. Characteristics and significance of Carboniferous volcanic rocks in Dinan uplift[J]. Lithologic Reservoirs, 2011, 23(6):62-68.
|
| [45] |
张兆辉, 陈华勇, 高艳玲, 等. 克拉美丽气田火山岩岩性测井识别技术研究[J]. 石油物探, 2016, 55(5):764-770.
|
| [45] |
Zhang Z H, Chen H Y, Gao Y L, et al. Study on lithology identification of igneous rocks in Kelameili Gasfield by well logging[J]. Geophysical Prospecting for Petroleum, 2016, 55(5):764-770.
|
| [46] |
张大权, 邹妞妞, 姜杨, 等. 火山岩岩性测井识别方法研究——以准噶尔盆地火山岩为例[J]. 岩性油气藏, 2015, 27(1):108-114.
|
| [46] |
Zhang D Q, Zou N N, Jiang Y, et al. Logging identification method of volcanic rock lithology:A case study from volcanic rock in Junggar Basin[J]. Lithologic Reservoirs, 2015, 27(1):108-114.
|
| [47] |
殷文, 冯程, 周发鑫, 等. 红车断裂带石炭系火山岩岩性岩相特征分析及储层识别[J]. 中国石油大学学报:自然科学版, 2023, 47(1):50-61.
|
| [47] |
Yin W, Feng C, Zhou F X, et al. Lithology and lithofacies characteristics analysis and reservoir identification of Carboniferous volcanic rocks in Hongche fault zone[J]. Journal of China University of Petroleum:Natural Science Edition, 2023, 47(1):50-61.
|
| [48] |
黄安, 蔡文渊, 魏新路, 等. 基于改进随机森林的火山岩测井岩性识别[J]. 科学技术与工程, 2023, 23(9):3696-3704.
|
| [48] |
Huang A, Cai W Y, Wei X L, et al. Lithology identification of volcanic logging based on improved random forest[J]. Science Technology and Engineering, 2023, 23(9):3696-3704.
|
| [49] |
赖强, 魏伯阳, 吴煜宇, 等. 基于随机森林的K-近邻算法划分火成岩岩性[J]. 特种油气藏, 2021, 28(6):62-69.
|
| [49] |
Lai Q, Wei B Y, Wu Y Y, et al. Classification of igneous rock lithology with K-nearest neighbor algorithm based on random forest (RF-KNN)[J]. Special Oil & Gas Reservoirs, 2021, 28(6):62-69.
|
| [50] |
马东来, 蔡煜琦, 孙远强. 基于随机森林算法的塔然高勒地区测井数据岩性识别[J]. 世界核地质科学, 2023, 40(1):43-50,67.
|
| [50] |
Ma D L, Cai Y Q, Sun Y Q. Random forest algorithm based lithology identification of geophysical logging data in tarangaole area[J]. World Nuclear Geoscience, 2023, 40(1):43-50,67.
|
| [51] |
冀汶莉, 刘艺欣, 柴敬, 等. 基于随机森林的矿压预测方法[J]. 采矿与岩层控制工程学报, 2021, 3(3):71-81.
|
| [51] |
Ji W L, Liu Y X, Chai J, et al. Mine pressure prediction method based on random forest[J]. Journal of Mining and Strata Control Engineering, 2021, 3(3):71-81.
|
| [52] |
Alkhasawneh M S, Ngah U K, Tay L T, et al. Modeling and testing landslide hazard using decision tree[J]. Journal of Applied Mathematics, 2014, 2014:929768.
|
| [53] |
Xue L, Liu Y T, Xiong Y F, et al. A data-driven shale gas production forecasting method based on the multi-objective random forest regression[J]. Journal of Petroleum Science and Engineering, 2021, 196:107801.
|
| [54] |
Xu Z H, Shi H, Lin P, et al. Integrated lithology identification based on images and elemental data from rocks[J]. Journal of Petroleum Science and Engineering, 2021, 205:108853.
|
| [55] |
Bhattacharya S, Carr T R, Pal M. Comparison of supervised and unsupervised approaches for mudstone lithofacies classification:Case studies from the Bakken and Mahantango-Marcellus Shale,USA[J]. Journal of Natural Gas Science and Engineering, 2016, 33:1119-1133.
|
| [56] |
Zhao C J, Jiang Y L, Wang L J. Data-driven diagenetic facies classification and well-logging identification based on machine learning methods:A case study on Xujiahe tight sandstone in Sichuan Basin[J]. Journal of Petroleum Science and Engineering, 2022, 217:110798.
|
| [1] |
GUO Yu-Shan, WANG Wan-Yin. A method for identifying lithology based on a feature-weighted KNN model[J]. Geophysical and Geochemical Exploration, 2024, 48(2): 428-436. |
| [2] |
JIANG Li, ZHANG Zhi-Mo, WANG Qi-Wei, FENG Zhi-Bing, ZHANG Bo-Cheng, REN Teng-Fei. Comparative study on lithology classification of oil logging data based on different machine learning models[J]. Geophysical and Geochemical Exploration, 2024, 48(2): 489-497. |
|
|
|
|