近20年西昆仑地区冰川动态变化遥感研究
纪鹏1,2, 郭华东1, 张露1
1.中国科学院对地观测与数字地球科学中心数字地球重点实验室,北京 100094
2.上海卫星工程研究所,上海 200240

第一作者简介: 纪 鹏(1987-), 男, 硕士研究生, 主要从事全球变化方面的研究。 E-mail:advicer_jp@163.com

摘要

依据西昆仑地区1991—2009年Landsat TM/ETM+遥感图像,获取近20 a西昆仑地区冰川及其冰川融水形成的郭扎错和阿克赛钦湖的动态变化信息,并结合气候资料,分区域综合分析冰川、湖泊变化与气候变化的关系。研究结果表明: ①在1991—2009年间,西昆仑冰川有显著变化,但东、西区存在较大差异。其中东区处于先减少,后增加,再减少的波动状态,而西区则处于持续减少状态。与此同时,郭扎错具有先扩大,后缩小,再扩大的变化现象,而阿克赛钦湖则在不断地缩小。②西昆仑冰川与郭扎错、阿克赛钦湖之间,存在着重要的相互作用关系,在数量上成反比。③在2000—2005年间,西昆仑冰川与湖泊面积变化差异产生的主要原因是温度,随着温度的升高,冰川面积减少,湖泊面积增大,三者的变化具有线性关系。

关键词: 遥感; 冰川; 湖泊; 动态变化; 西昆仑
中图分类号:TP79 文献标志码:A 文章编号:1001-070X(2013)01-0093-06 doi: 10.6046/gtzyyg.2013.01.17
Remote sensing study of glacier dynamic change in West Kunlun Mountains in the past 20 years
JI Peng1,2, GUO Huadong1, ZHANG Lu1
1.Key Laboratory of Digital Earth, Center for Earth Observation and Digital Earth, Chinese Academy of Sciences, Beijing 100094, China
2.Shanghai Institute of Satellite Engineering, Shanghai 200240, China
Abstract

Based on the Landsat TM/ETM+ remote sensing images from 1991 to 2009, the authors obtained the dynamic change of the West Kunlun glaciers as well as the Gozha Co and the Aksayqin Lake, with the climatic data, analyzed the change relationship between the glaciers, the lakes and the local climate in different regions. The conclusions of this paper are as follows: ① In the period of 1991 to 2009, the West Kunlun glaciers were changing obviously, but the east part and the west part show different characteristics. That is, the glaciers of the east part firstly decreased, then increased, and decreased again. The change was fluctuated. However, the situation of the west part was different: the glaciers were decreasing continuously. Meanwhile the Gozha Co was firstly enlarged, then narrowed, and enlarged again while the Aksayqin Lake was narrowed continuously. ② In the West Kunlun glaciers, there existed important interaction relationship between the Gozha Co and the Aksayqin Lake, showing an inverse ratio in quantity. ③ From 2000 to 2005, the main factor responsible for the difference in area between the West Kunlun glaciers and the lakes was the temperature. With the growing temperature, the area of the glaciers decreased while that of the lakes increased. The variation showed linear relationship.

Keyword: reomte sensing; glacier; lake; dynamic change; West Kunlun Mountains
0 引言

研究冰川的覆盖程度和演变环境, 不仅对研究冰川现在和未来发展有着重要意义, 对研究全球现在和未来气候的变化也起着举足轻重的作用[1]。西昆仑冰川位于青藏高原西北边缘向南呈弧形的内陆高山地区, 地势高亢、气候寒冷, 冰川发育集中、规模很大, 是研究环境变化的重要区域之一[2]

卫星遥感技术具有快速、高效、便捷等优点, 能获取长周期、大范围的地表图像, 是当前冰川学研究的重要方法之一[3, 4, 5]。对于研究高原地区的冰川, 卫星遥感技术不仅能够突破天气寒冷、海拔高和交通不便等限制, 而且能够扩展研究冰川演变过程的时间和空间范围。比如, 郭华东等基于雷达图像对西昆仑郭扎错北面冰川动态变化的研究[6], 上官冬辉等根据航空相片、地形图及图像数据对玉龙喀什河源区的冰川变化的研究[7], 张瑞江等依据ETM图像对青藏高原冰川雪线高度变化的研究[8], 以及基于地形图、MSS和ETM数据的对青藏高原现代冰川面积变化的研究[9], 均证实了卫星遥感技术极为有利于监测和分析冰川的变化。但是, 由于冰川分布广泛、数量多、类型复杂, 如何快速、准确地提取出冰川的物理参数成为冰川遥感研究中的难点。随着地理信息系统技术的发展, 有学者开始采用卫星遥感与地理信息系统技术相结合的方法对冰川进行研究。晋锐等基于我国20世纪70年代冰川编目数据、ASTER图像及DEM, 在GIS支持下对西藏朋曲流域冰川变化进行了遥感研究[10]; 宋波等基于DEM和遥感图像, 对我国贡嘎山地区冰川分类进行了遥感研究, 提出了建立在GIS技术上改进的半自动集成分类方法[11]。可见, 综合利用卫星遥感与GIS技术, 能够更好地监测和分析冰川的变化。目前, 已经有学者对西昆仑冰川的动态变化进行了遥感研究, 例如上官东辉等根据西昆仑冰川20世纪70年代冰川编目数据、1990— 2001年Landsat卫星图像, 对该冰川在1970— 2001年间的动态变化进行了遥感研究, 得出西昆仑冰川在此期间有所退缩的结论[12]; 本文作者课题组则基于1991— 2009年Landsat TM与ETM+遥感图像, 对西昆仑冰川近20 a来的动态变化进行了遥感研究, 得出了该冰川在1991— 2009年间具有先增加后减少的波动规律的结论[13]

考虑到西昆仑冰川及其形成的冰川湖构造出了一个区域自然环境系统, 二者的变化及相互关系对研究全球变化而言具有重要的参考价值, 需更加深入地研究; 此外, 如何综合利用遥感与GIS技术, 研究西昆仑冰川及其形成的冰川湖动态变化信息的提取, 发掘遥感技术在环境变化研究中的潜力, 同样需要进一步研究。据此, 本文选用西昆仑地区1991— 2009年Landsat TM与ETM+遥感图像, 采用自动、半自动相结合的图像分析方法, 提取冰川及冰川湖的变化信息, 利用GIS技术对冰川、湖泊面积进行统计分析。进而结合气候资料, 分析冰川、湖泊变化与气候变化之间的关系, 推测该区域近20 a以来冰川和湖泊变化特点及原因。

1 研究区概况及数据源
1.1 研究区概况

研究区位于E 79.5° ~82° , N 34.5° ~36° 之间, 西昆仑新疆维吾尔族自治区和西藏自治区的邻接处。该区地貌多样, 既有庞大的冰川, 也有巨大的湖泊。冰川聚性强、数量多、规模大, 而且平均雪线高, 冰舌末端高度低, 山谷冰川平均面积大[14]。根据全球陆地冰空间观测计划公布的结果显示, 研究区中, 多峰冰川规模最大, 长达26.8 km, 面积为251.7 k m2[15]此外, 该区冰川类型十分齐全, 既有悬冰川、冰斗冰川, 也有山谷冰川和平顶冰川, 这些冰川为周边地区的河流和湖泊提供融水补给。

上述冰川的融水在南部形成了2个较大的湖泊— — 阿克赛钦湖和郭扎错, 分别位于研究区西部和东部(图1)。其中, 阿克赛钦湖主要由弓形冰川、多塔冰川和泉水冰川及以西西昆仑冰川提供融水补给; 而郭扎错则主要由位于西昆仑冰川东部的中峰冰川、郭扎冰川、崇侧冰川及其以东冰川提供补给。

图1 西昆仑研究区域Fig.1 Study area of West Kunlun

阿克赛钦湖是阿克赛钦盆地内最著名的内流湖[16]。阿克赛钦盆地是昆仑山系南侧半封闭性山间盆地, 属新疆和田行政区域, 平均海拔在4 000 m以上, 降雨稀少, 气候寒冷。

郭扎错, 又名里田错、明亮湖, 位于西藏阿里地区日土县, 羌塘高原最北端的西昆仑山间盆地, 形似一面腰鼓, 东西长30.4 km, 南北最大宽11.6 km, 平均宽8.31 km, 面积252.6 km2, 最大水深81.9 m。湖面海拔达5 080 m, 湖岸比较陡峭。该湖还有一个特征, 即湖水北淡南咸[17, 18]

由于西昆仑地区幅员广阔, 东西部区域气候变化存在差异, 所以要将东、西区的冰川看作2个不同的整体进行比较, 这样才能准确地反映冰川、湖泊变化和气候变化之间的关系。

1.2 数据源

共采用7景TM和ETM+数据, 其空间分辨率均采用30 m, 其他参数详见表1

表1 1991— 2009年Landsat数据源 Tab.1 Landsat data from 1991 to 2009

这7景数据横跨了1990— 2010年的近20 a, 其时相都选定在每年的9月或10月含云量非常少的时期。1991-10-17, 2001-10-20, 2004-09-10和2009-10-02数据覆盖了东区的大部分地区, 包括西昆仑冰川的主体部分和整个郭扎错。1992-10-10, 2000-10-08和2005-09-04数据覆盖了西区的小部分地区, 但包含了阿克赛钦湖的全部。本文将西昆仑冰川、郭扎错和阿克赛钦湖先分开、后综合地进行比较分析。

7景图像数据均来自GLCF(global land cover facility)和USGS(US geological survey)数据共享平台, 带有地理坐标信息的GeoTIFF格式, 是几何精纠正产品, 地理编码精度较高, 大地参考椭球坐标系为WGS 84, 投影坐标系统UTM, Zone 44N。

与西昆仑地区距离最近的国家气象站点为狮泉河站, 该站点与研究区南端中峰冰川之间的直线距离约280 km。由于距离太远, 狮泉河站采集的气象数据不足以准确反映西昆仑地区的气候变化特点, 因此在气候方面本文采用NCEP/NCAR再分析数据集[19]。该数据集有着分析时间长和观测资料广泛的特点, 包括了从1948-01-01到目前为止的每日和每月数据, 以及1968— 1996年的长期月平均数据; 数据集的观测资料来源包括全球无线电测风资料、综合海气资料、飞机观测资料、陆面天气观测资料、卫星探测资料、微波特殊探测/图像资料和卫星观测风(云的移动)资料等[20]。数据集以标准的二进制形式存储在经度/纬度间隔2.5° × 2.5° 的网格点上, 在全球范围内共144× 73个格点。

本文根据研究区域范围和图像时相区间, 选取了从1990— 2009年间每年的温度和降水量平均值数据, 用于气候数据与冰川、湖泊变化的对比分析。

2 冰川、湖泊的遥感提取方法

采用阈值分割法提取冰川信息, 该方法不仅具有耗时少、效率高的优点, 还能准确地检测出在阴影区中的冰川[21]。公式为

T=TM3 / TM5, (1)

式中: T为采用阈值分割法提取的冰川信息; TM3, TM5分别为红波段和中红外波段亮度值。该方法对有冰碛覆盖的冰川也能够进行有效提取, 但不能区分水体与冰雪。因为在TM3和TM5波段水体和冰雪具有相似的反射光谱特征。针对这一问题, 采用目视解译法, 人工剔除错分的冰川[22]

然后, 运用近似梯度Roberts算子对上述冰川分类结果进行矢量化处理。其原理是将四邻域中对角线上的像元值差作为水平和垂直方向梯度的近似值, 从而检测出图像中相应目标的边界[23]。在本研究中, 对应目标就是冰川。Roberts算子的梯度表达式为

|f(x, y)|= [f(x, y)-f(x+1, y+1)]2+[f(x+1, y)-f(x, y+1)]2, (2)

式中: x, y为图像像素的坐标值; f(x, y)为像素值。

最后, 在Arc/Info中叠加全部4组不同时期的冰川边界矢量化数据, 并利用其统计功能对冰川进行变化分析。

采用谱间关系法和最大似然法相结合的方法提取湖泊范围, 因为同一种方法在不同类别的遥感图像中不是都能够准确识别水体信息。谱间关系法是通过分析水体在TM或ETM图像各波段的波谱特性, 发现其独具的谱间关系, 进而提取水体信息的方法[24], 判断语句为

Water=if{[TM2+TM3-(TM4+TM5)]∈ [Tmin, Tmax]}, (3)

式中: Water为提取的水体信息; TM2, TM3, TM4和TM5分别代表2, 3, 4与5波段图像亮度值; TminTmax分别为水体亮度的最小和最大值。该方法能够将水体与阴影区分开来, 对湖泊、水库和宽河流等的提取具有非常好的效果, 尤其适合山地区域内水体的提取。

通过谱间关系法和最大似然法处理, 得到独立的湖泊数据; 然后利用Roberts算子提取湖泊边界信息, 并将生成的矢量图像在ArcInfo中做图层叠加和统计; 最后针对湖泊变化进行检测分析。

3 冰川、湖泊的变化特点
3.1 冰川变化特点

以中峰冰川为分水岭, 将研究区冰川分为东、西2区: 东区冰川包括中峰冰川、郭扎冰川和崇侧冰川等, 为郭扎错提供融水补给; 西区冰川包括弓形冰川、多塔冰川和泉水冰川等, 为阿克赛钦湖提供补给。分别统计东、西区内冰川整体面积变化(表2)。

表2 1991— 2009年西昆仑冰川面积变化 Tab.2 Area change of West Kunlun glaciers from 1991 to 2009(km2)

研究发现西区冰川整体面积在1991— 2001年、2001— 2004年和2004— 2009年间分别减少了0.44 km2, 0.35 km2和1.02 km2, 呈现持续减少的状态; 东区在1991— 2001年间冰川整体面积减少了0.2 km2, 而2004年却增加了3.08 km2, 2009年又减少了0.69 km2, 呈现先减少后增加再减少的变化现象。

以中峰冰川和弓形冰川为例, 其变化与遥感图像叠加, 如图2所示。

图2 冰川变化与遥感图像叠加图Fig.2 Overlay of glacier changes and remote sensing images

3.2 湖泊变化特点

1991年郭扎错面积为250.63 km2, 2001年增加至282.2 km2, 增加了31.57 km2; 但2004年面积减至238.05 km2, 减少了44.15 km2; 然而到2009年, 面积又变为248.99 km2, 增幅为10.94 km2。该湖泊面积在1991— 2009年间, 具有先增加后减少再增加的变化现象, 处于波动状态。

阿克赛钦湖在1992年面积为182.09 km2, 2000年减至165.58 km2, 减少了16.51 km2; 但2005年面积又增加到170.02 km2, 增幅4.44 km2。单就1992年和2005年这2个时间结点来看, 该湖面积以平均每年0.93 km2的速度不断地减小。

结合叠加有不同年份湖泊边界的遥感图像(图3)可直观地看到这种变化现象。

图3 湖泊变化与遥感图像叠加图Fig.3 Overlay of lake changes and remote sensing images

4 讨论

依据西昆仑冰川、郭扎错和阿克赛钦湖的位置关系和该地区NCEP/NCAR再分析气候资料, 本文就三者在1991年与2009年间的变化结果, 作了比较分析。

从冰川与湖泊的相对位置看, 泉水冰川与阿克赛钦湖距离最近, 前者是后者重要的补给水源。遥感图像反映1991— 2009年, 泉水冰川表现为“ 先增后减” , 而阿克赛钦湖表现为“ 先减后增” , 二者呈明显的反比关系并相互对应。类似地, 中峰冰川与郭扎错位置最靠近, 前者融水形成的水流大部分汇入后者, 是其最主要的补给水源; 遥感图像上, 中峰冰川在1991— 2009年间表现出“ 减— 增— 减” 现象, 而郭扎错表现出“ 增— 减— 增” 现象, 二者有明显的反比对应关系。综合来看, 高山地区的冰川与以其为补给水源的下游湖泊之间, 存在着重要的相互依存关系, 在数量上成反比。

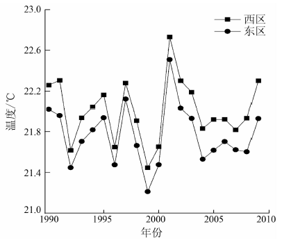
从气候变化角度看, 1991— 2009年西昆仑东、西区年平均温度在21.0~24.0° C之间, 总曲线呈起伏变化。但是, 西区气温比东区气温普遍偏高, 差值分布在0.16~0.35° C之间。而且2000— 2005年的差值比1991— 1999年的差值高, 稳定于0.22° C左右; 特别地, 在2008— 2009年间达到最大值0.35° C(图4)。遥感图像显示, 在2000— 2005年间西昆仑东区呈现冰川面积增加和郭扎错面积减少的现象; 可是西区却呈现冰川面积减少和阿克赛钦湖面积增加的现象。因此推测, 造成西昆仑东、西区冰川与湖泊面积变化差异的主要原因是温度; 而且随着温度的增加, 冰川面积减少, 湖泊面积增大, 三者的变化具有线性关系。

图4 1990— 2010年西昆仑年平均温度曲线图Fig.4 Average temperature of West Kunlun from 1990 to 2010

5 结论

1)总体而言, 1991— 2009年期间, 西昆仑冰川具有显著变化, 东、西区存在差异。其中东区处于先减少后增加再减少的波动状态, 而西区处于持续减少状态。同时, 郭扎错具有先增加后减少再增加的变化现象, 而阿克赛钦湖呈不断减小趋势。

2)西昆仑冰川与郭扎错、阿克赛钦湖之间, 存在着重要的相互作用关系, 在面积数量上成反比。

3)2000— 2005年间, 西昆仑东、西区冰川与湖泊面积变化差异的产生原因是温度因素; 随着温度的增加, 冰川面积减少, 湖泊面积增大, 三者的变化具有线性关系。

综合各方面因素, 认为从1991— 2009年间西昆仑冰川、郭扎错和阿克赛钦湖的变化, 敏感地反映了当地同期气候的变化。随着此类现象在全球范围内的持续出现, 西昆仑地区作为典型区域值得继续深入研究。

The authors have declared that no competing interests exist.

参考文献
[1] 王园香, 赵平. GLIMMER 3D陆冰模式及其在青藏高原的应用[J]. 冰川冻土, 2010, 32(3): 524-531.
Wang Y X, Zhao P. A 3D land -ice model GLIMMER and its application in the Tibetan Plateau[J]. Journal of Glaciology and Geocryology, 2010, 32(3): 524-531. [本文引用:1] [CJCR: 2.221]
[2] 焦克勤, 姚檀栋, 李世杰. 西昆仑山32 ka来的冰川与环境演变[J]. 冰川冻土, 2000, 22(3): 250-257.
Jiao K Q, Yao T D, Li S J. Evolution of glaciers and environment in the West Kunlun Mountains during the past 32 ka[J]. Journal of Glaciology and Geocryology, 2000, 22(3): 250-257. [本文引用:1] [CJCR: 2.221]
[3] Paul F, Kääb A, Maisch M, et al. The new remote sensing derived swiss glacier inventory: I methods[J]. Annals of Glaciology, 2002, 34(1): 355-361. [本文引用:1] [JCR: 2.524]
[4] 鲁安新, 姚檀栋, 刘时银, . 青藏高原各拉丹冬地区冰川变化的遥感监测[J]. 冰川冻土, 2002, 24(5): 559-562.
Lu A X, Yao T D, Liu S Y, et al. Glacier change in the Geladand ong area of the Tibetan Plateau monitored by remote sensing[J]. Journal of Glaciology and Geocryology, 2002, 24(5): 559-562. [本文引用:1] [CJCR: 2.221]
[5] 李震, 孙文新, 曾群柱. 综合RS与GIS方法提取青藏高原冰川变化信息——以布喀塔格峰为例[J]. 地理学报, 1999, 54(3): 263-268.
Li Z, Sun W X, Zeng Q Z. Deriving glacier change information on the Xizang (Tibetan) Plateau by integrating RS and GIS techniques[J]. Acta Geographica Sinica, 1999, 54(3): 263-268. [本文引用:1] [CJCR: 3.304]
[6] 郭华东. 中国雷达遥感图像分析[M]. 北京: 科学出版社, 1999: 87-89.
Guo H D. China Radar remote sensing image analysis[M]. Beijing: Science Press, 1999: 87-89. [本文引用:1]
[7] 上官冬辉, 刘时银, 丁永建, . 玉龙喀什河源区32年来冰川变化遥感监测[J]. 地理学报, 2004, 59(6): 855-862.
Shangguan D H, Liu S Y, Ding Y J, et al. Glacier changes at the head of Yurungkax River in the west Kunlun Mountains in the past 32 years[J]. Acta Geographica Sinica, 2004, 59(6): 855-862. [本文引用:1] [CJCR: 3.304]
[8] 张瑞江, 赵福岳, 方洪宾, . 青藏高原近30年现代雪线遥感调查[J]. 国土资源遥感, 2010, 22(s1): 59-63.
Zhang R J, Zhao F Y, Fang H B, et al. Remote sensing survey of existing snowlines in the past 30 years in Qinghai-Tibet Plateau[J]. Remote Sensing for Land and Resources, 2010, 22(s1): 59-63. [本文引用:1]
[9] 张瑞江, 方洪宾, 赵福岳, . 青藏高原近30年来现代冰川面积的遥感调查[J]. 国土资源遥感, 2010, 22(s1): 45-48.
Zhang R J, Fang H B, Zhao F Y, et al. Remote sensing survey of existing glaciers in Qinghai-Tibet Plateau[J]. Remote Sensing for Land and Resources, 2010, 22(s1): 45-48. [本文引用:1]
[10] 晋锐, 车涛, 李新, . 基于遥感和GIS的西藏朋曲流域冰川变化研究[J]. 冰川冻土, 2004, 26(3): 261-266.
Jin R, Che T, Li X, et al. Glacier variation in the Pumqu Basin derived from remote sensing data and GIS technique[J]. Journal of Glaciology and Geocryology, 2004, 26(3): 261-266. [本文引用:1] [CJCR: 2.221]
[11] 宋波, 何元庆, 庞洪喜, . 基于遥感和GIS的我国季风海洋型冰川区冰碛物覆盖型冰川边界的自动识别[J]. 冰川冻土, 2007, 29(3): 456-462.
Song B, He Y Q, Pang H X, et al. Identifying automatically the debris-covered glaciers in China’s monsoonal temperate-glacier regions based on remote sensing and GIS[J]. Journal of Glaciology and Geocryology, 2007, 29(3): 456-462. [本文引用:1] [CJCR: 2.221]
[12] Shangguan D H, Liu S Y, Ding Y J, et al. Glacier changes in the west Kunlun Shan from 1970 to 2001 derived from Land sat TM/ETM+ and Chinese glacier inventory data[J]. Annals of Glaciology, 2007, 46(1): 204-208. [本文引用:1] [JCR: 2.524]
[13] 纪鹏, 郭华东, 张露. 基于Land sat数据的郭扎错北面冰川近20年来面积动态变化遥感研究[J]. 遥感技术与应用, 2011, 26(2): 202-208.
Ji P, Guo H D, Zhang L. Land sat-based dynamic area change of the glaciers to the north of the Guozhacuo Lake, 1991-2009[J]. Remote Sensing Technology and Application, 2011, 26(2): 202-208. [本文引用:1] [CJCR: 1.047]
[14] 曲耀光, 刘景时, 马世敏. 新疆和田地区的水资源及其潜力[J]. 干旱区资源与环境, 1994, 8(2): 31-39.
Qu Y G, Liu J S, Ma S M. Water resources in Hetian region and the potentialities[J]. Journal of Arid Land Resources and Environment, 1994, 8(2): 31-39. [本文引用:1] [CJCR: 1.303]
[15] Li X. GLIMS Glacier Database[Z]. National snow and ice data center/world data center for glaciology, 2003. [本文引用:1]
[16] 中国大百科全书总编委会. 中国大百科全书[M]. 北京: 中国大百科全书出版社, 2009.
Total Editorial Board of the China Encyclopedia. China encyclopedia[M]. Beijing: China Encyclopedia Press, 2009. [本文引用:1]
[17] 王苏民, 窦鸿身. 中国湖泊志[M]. 北京: 科学出版社, 1998: 406.
Wang S M, Dou H S. Chinese lake manual[M]. Beijing: Science Press, 1998: 406. [本文引用:1]
[18] 中科院南京地理与湖泊研究所, 中国湖泊数据库[Z]. 2009.
Nanjing Institute of Geography and Limnology, CAS. China lake database[Z]. 2009. [本文引用:1]
[19] Kalnay E, Kanamitsu M, Kistler R, et al. The NECP/NCAR 40-year reanalysis project[J]. Bull Amer Meteor Soc, 1996, 77(3): 437-471. [本文引用:1]
[20] 苏志侠, 吕世华, 罗四维. 美国NCEP/NCAR40年全球再分析资料及其解码和图形显示软件简介[J]. 高原气象, 1999, 18(2): 199-208.
Su Z X, Lü S H, Luo S W. NCEP/NCAR 40 years global reanalysis data decoding and graphical display software introduction[J]. Plateau Meteorology, 1999, 18(2): 199-208. [本文引用:1] [CJCR: 1.979]
[21] Paul F, Kääb A. Perspectives on the production of a glacier inventory from multispectral satellite data in arctic Canada: Cumberland Peninsula, Baffin Island [J]. Annals of Glaciology, 2005, 42(1): 59-66. [本文引用:1] [JCR: 2.524]
[22] Tobias B, Brian M, Roger W. Land sat-based inventory of glaciers in western Canada, 1985-2005[J]. Remote Sensing of Environment, 2010, 114(1): 127-137. [本文引用:1] [JCR: 4.769]
[23] 贾永红. 数字图像处理[M]. 武汉: 武汉大学出版社, 2003: 134.
Jia Y H. Digital image processing[M]. Wuhan: Wuhan University Press, 2004: 134. [本文引用:1]
[24] 周成虎, 骆剑承. 遥感影像地学理解与分析[M]. 北京: 科学出版社, 2003: 75-78.
Zhou C H, Luo J C. Remote sensing image understand ing and analysis[M]. Beijing: Science Press, 2003: 75-78. [本文引用:1]