金沙滩近岸水体叶绿素a和悬浮物遥感反演研究 |
盖颖颖, 王章军, 杨雷, 周燕, 龚金龙 |
Remote sensing retrieval of chlorophyll-a and suspended matter in coastal waters of Golden Beach |
GAI Yingying, WANG Zhangjun, YANG Lei, ZHOU Yan, GONG Jinlong |
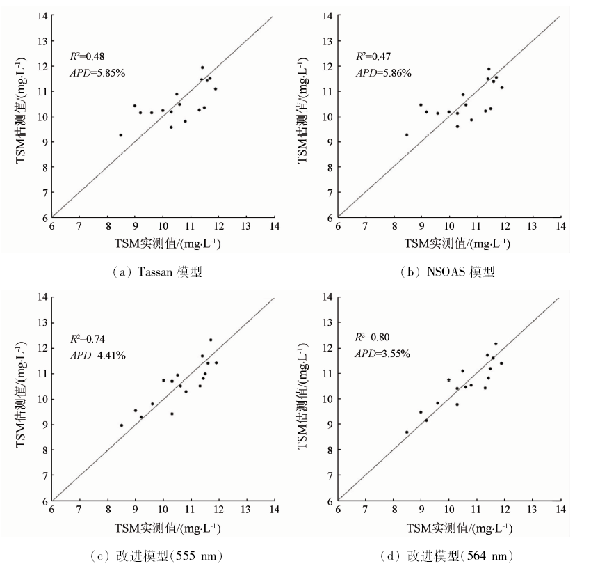
图7 TSM模型估测值与实测值对比 |
Fig.7 Comparison of estimated results and measured results for TSM models |
![]() |