基于最优参数地理探测器模型的黄土高原植被动态时空序列分异及驱动力探究 |
| 孙银锁, 方霄, 周东茂, 薛洪文, 苏俊武 |
|
Exploring the spatiotemporal differentiation and driving factors of vegetation dynamics in the Loess Plateau using the optimal parameter-based geographical detector model |
| SUN Yinsuo, FANG Xiao, ZHOU Dongmao, XUE Hongwen, SU Junwu |
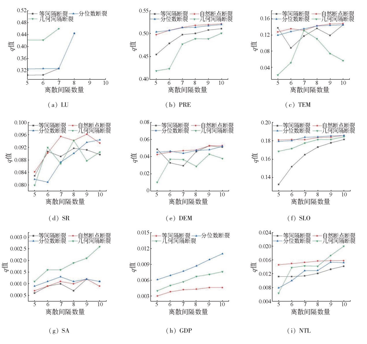
| 图7 基于最优参数地理探测器模型解释变量的离散划分效应 |
| Fig.7 Discrete partition effects of the explained variables based on the geographic detector model with optimal parameters |
|