基于深度学习的东秦岭羟基蚀变信息遥感解译及可靠性检验 |
| 李春意, 赵鹏翔, 丁来中, 王文杰, 高彦涛, 买志瑶, 郭亚星 |
|
Deep learning-based remote sensing interpretation and its reliability verification for hydroxyl alteration information in the East Qinling Mountains |
| LI Chunyi, ZHAO Pengxiang, DING Laizhong, WANG Wenjie, GAO Yantao, MAI Zhiyao, GUO Yaxing |
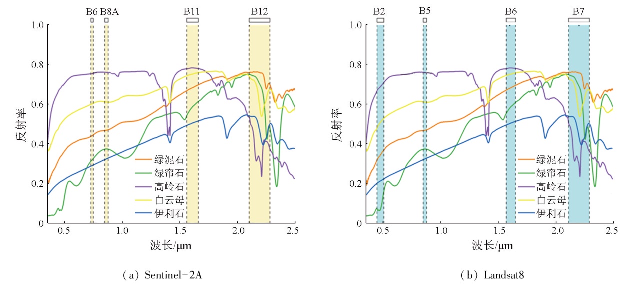
| 图5 数据波段与典型羟基矿物光谱图 |
| Fig.5 Data bands and typical hydroxyl mineral spectra |
|