中国区域的国际重要湿地制图产品间一致性分析 |
| 廖远鸿, 白玉琪 |
|
Consistency analysis of mapping products for wetlands of international importance in China |
| LIAO Yuanhong, BAI Yuqi |
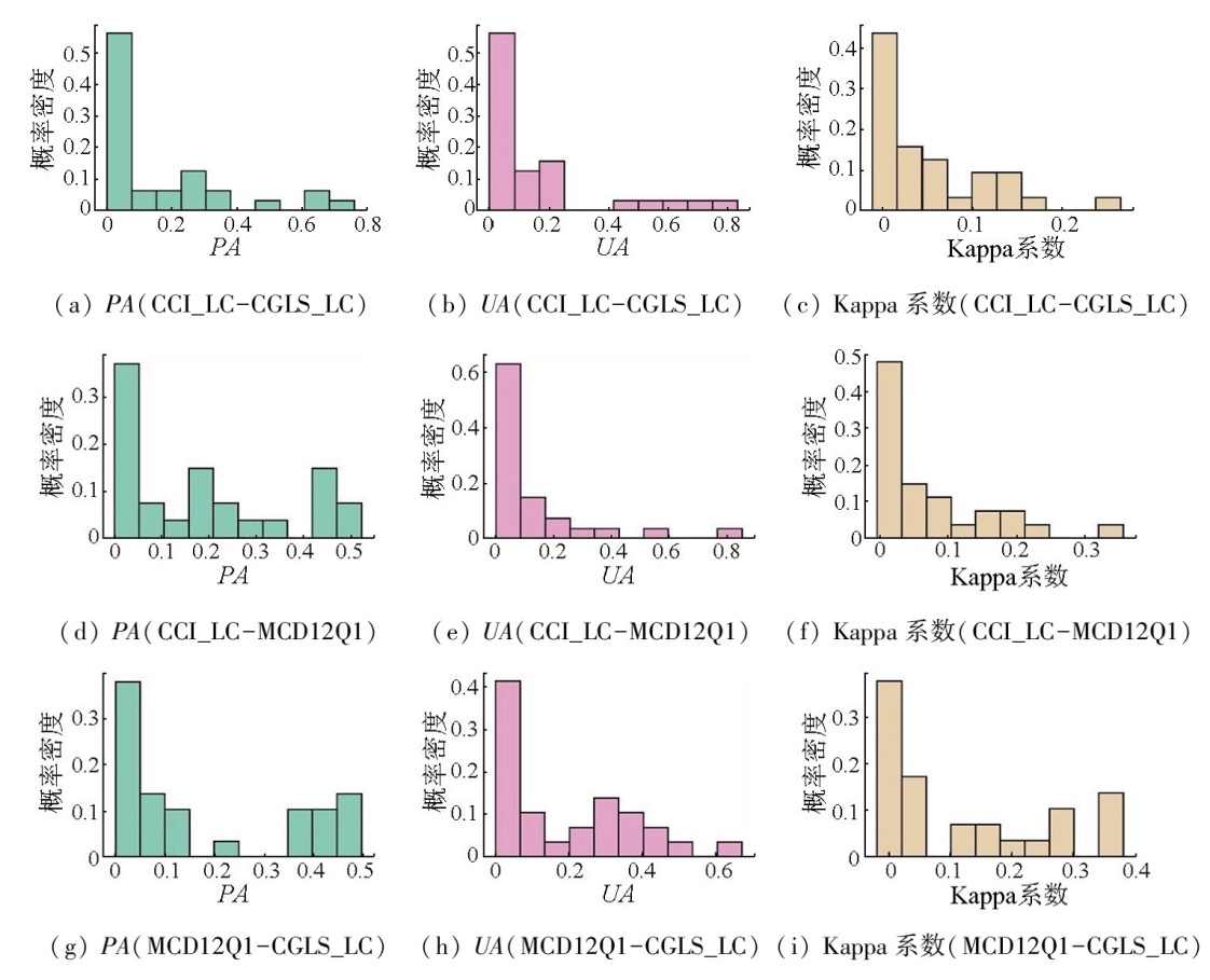
| 图4 产品间的湿地分类准确度指标分布直方图 |
| Fig.4 Histogram of the distribution of wetland classification accuracy metrics among products |
|