第一作者简介: 陈峰(1981-),男,硕士,研究实习员,主要从事城市环境遥感与气候变化方面的研究。
大气水分含量是影响单波段热红外地表温度反演的关键因素之一。研究大气水分含量空间异质性对地表温度反演的影响误差有助于单波段热红外数据的合理应用。以MODIS MOD 05_L2产品为数据源,探讨区域大气水分含量的空间异质性及其对Landsat地表温度反演的影响。在推导大气水分含量对地表温度反演误差模型的基础上,针对Landsat 5热红外波段,结合不同区域的大气水分含量分布状况,对大气水分含量的空间异质性可能引起的地表温度反演误差进行了模拟计算与对比分析。结果显示,大气水分含量空间异质性对地表温度反演的影响与大气水分含量及其异质性程度有关: 当大气水分含量的空间异质性相对较大时,误差值和误差范围都比较大,达到0.5~2℃,相对误差为2%~20%; 当大气水分含量空间分布较均匀时,误差值和误差范围为0.1~0.2℃,相对误差为0.5%~2%。可见,对于空间异质性程度较大的区域,区域面上大气参数的获得对地表温度的准确反演具有重要意义。
Atmospheric water vapor is one of the key factors affecting the retrieval of land surface temperature (LST) from the single-band infrared image. It is conductive to the rational usage of single-band infrared data to find out the influence of spatial heterogeneity of AWV on the retrieval of LST. With the MODIS MOD05_L2 products as data sources, this paper discussed the spatial heterogeneity of AWV at the regional scale and its impact on the retrieval of LST from Landsat image. Firstly, an error model was deduced with regard to the influence of AWV on the retrieval of LST from remote sensing data. Then, in order to explore the retrieval error of LST possibly caused by the spatial heterogeneity of AWV at the regional scale, the authors conducted simulation tests followed by comparative analyses under spatially different distribution conditions of AWV in several regions, particularly for the thermal infrared band of Landsat 5. Results obtained in this paper indicate that the retrieval error of LST caused by the spatial heterogeneity of AWV has to do with the value and the heterogeneity degree of AWV. For example, when AWV had relatively high heterogeneity, an error was relatively great, ranging from 0.5℃ to 2℃ with relative error from 2% to 20% accordingly; by contrast, when AWV was relatively uniform, error was comparatively insignificant and ranged from 0.1℃ to 0.2℃ with relative error from 0.5% to 2% accordingly. In conclusion, with regard to regions with a relatively high degree of atmospheric heterogeneity, it is vital to get atmospheric parameters properly at the regional scale so as to retrieve LST precisely from remote sensing data.
城市地表温度信息对其热环境的研究具有重要意义。Landsat 5/7热红外波段所具有的空间分辨率(Landsat 5为 120 m, Landsat 7为60 m)适合城市尺度的热环境研究[1, 2, 3, 4], 但仅有一个热红外波段的设置限制了Landsat星数据的定量应用[5]。近年来, 针对Landsat 5/7的热红外单波段特点, 有学者提出了单窗算法[6]、单通道算法[7]和基于辐射传输方程的算法[5], 3种算法均将准确的大气参数作为地表温度反演的关键因素。在实际应用中, 由于受数据获取条件的限制, 通常假定一定区域范围内的大气状态是均质的, 而不考虑大气的影响[2, 8, 9], 或以区域内某一点上的大气参数代表整个研究区域的大气状况[4]。但是, 土地覆盖类型的差异会导致大气水分含量在空间分布上存在较大差别[10], 而假定大气状况均质, 不进行大气校正, 或以点代面的研究方式, 必将给遥感地表温度反演带来误差[11, 12]。
本研究的主要目的在于探讨大气水分含量空间分布的异质性, 分析不同条件下大气水分含量空间异质性对地表温度反演的影响误差, 并提出可能的解决方法。
MODIS大气水分含量产品又称大气可降水量产品, 有红外和近红外两类, 其中近红外产品为白天产品, 包含Terra MOD 05_L2 和Aqua MYD 05_L2两个数据集, 空间分辨率均为1 km× 1 km。该产品主要用来进行水循环、气溶胶和云效应、大气校正及大气特征等研究[13]。从2006年的MODIS MOD 05_L2大气水分含量产品中选择研究中所需的数据, 具体如表1所示。
| 表1 研究中使用的数据 Tab.1 Data used in the research |
Terra星与Landsat星的过境时差基本在1 h之内。设置各研究区域范围为60像元× 60像元大小(约为3 600 km2)。数据选择中尽量避免过多的空缺值和有明显条带的数据, 并用区域内有效数据均值来替代空缺值, 采用3像元× 3像元空间中值滤波方法对可能存在的条带进行处理。
采用变差函数和分形维数对区域大气水分含量的空间异质性进行定量分析。首先使用全局Moran I指数统计计算大气水分含量的空间聚集性, 在此基础上, 采用变差函数来对其空间分布的结构性与随机性进行分析。实际应用中, 一般采用实验变差函数
来计算变差函数值。
式中, z(xi)和z(xi+h)分别为在空间位置xi、xi+h处的大气水分含量; h称为滞后距; n(h)为计算实验变差函数值时的点对总数。
从多条剖面线上大气水分含量数据的直方图分布来看(图略), 数据不满足正态分布假设。因此, 式(1)的计算结果将是有偏的, 需要对数据和计算过程进行稳健处理[14]。本实验选择中位数中位偏差法[15]对变差函数值进行无偏估计, 即
γ H(h)=2.198 8{med|γ i(h)-
式中, med为中位数; γ i(h)=z(xi+h)-z(xi);
为了对比不同区域、不同时相的空间异质性, 本文采用除以最大变差函数值的方法[16]对实验变差函数进行标准化处理。变差函数图对分析大气水分含量的空间分布结构很有作用, 而将变差函数与分形维数相结合则能表征其整体结构复杂性 [17]。将变差函数值和空间滞后距取双对数, 在双对数坐标系下拟合二者之间的线性关系, 得到回归直线的斜率(m), 用以估算分形维数(D), 即
D=
D值越小, 表示大气水分含量的空间分布差异越大, 均质性越差; D值越大, 则表示空间差异越小, 均质性越好。
通过重点研究水平和垂直方向上的平均空间异质性, 来描述大气水分含量的总体空间分布异质性情况。
热红外辐射传感器所接收的能量(Lsensor)主要包括大气消减后被传感器接收的地表热辐射[ε B(Ts)τ ]、大气下行辐射(L↓ )经地表反射后再被大气削减后的辐射及大气上行辐射(L↑ , 又称程辐射)3部分。热红外辐射传输模型可用式(4)表示, 即
![]() |
式中, ε 为地表比辐射率; B(Ts)为温度Ts的黑体辐射量; τ 为大气透过率。以上各参量均是以相应传感器波段(本文指Landsat 5 TM6)的波谱响应函数对各参量以波长分布形式的积分并归一化的结果。
由式(4)可知, 经大气影响校正和地表比辐射率修正后, 结合Planck方程便可以得到地表温度Ts。因此, 要准确反演地表温度, 对大气影响和地表辐射率进行校正是不可缺少的。在热红外波段, 与大气影响有关的参数(大气上行、下行辐射和透过率)可用大气水分含量来表征[6, 7, 18]。因此, 采用大气水分含量来表征大气条件, 分析地表温度反演中大气的影响是有意义的。
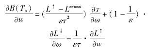
在假定地表比辐射率已知、传感器辐射定标准确的前提下, 以热红外辐射传输方程(式(4))和Planck辐射反函数方程
Ts=
为基础, 进行偏导数求解, 可得式(6)~(8)的推导结果。
Δ w(Ts)=
其中,
![]() |
式中, Δ (w)为大气水分含量偏差; Δ w(Ts)为大气水分含量偏差引起的温度反演误差; c1=2π hc2, c2=hc/k(h 为普朗克常数, h=6.626× 10-34J· s, k为波耳兹曼常数, k=1.3806× 10-23J· K-1, c为光速, c=2.998× 108 m· s-1); λ 为热红外波段的有效波长, 针对Landsat 5的TM6波段, 这里取λ =11.457 μ m[18]。
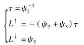
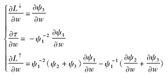
在Landsat 5热红外波段范围内, 考虑传感器的实际波谱响应函数(参见Handbook[19]), 可采用Jimenez-Munoz等的研究成果[7], 求得大气下行辐射、大气上行辐射及大气透过率的表达式, 即
![]() |
进一步推得
![]() |
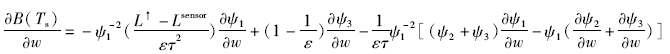
将以上各式代入式(8), 得
![]() |
为了直观地表述大气水分含量空间异质性对遥感地表温度反演的影响, 以研究区域的大气水分含量均值作为背景值, 以各像元大气水分含量与背景值之差作为大气水分含量的偏差。大气参数值τ 、L和L通过式(9)、式(10)得到, Lsensor通过辐射传输方程式(4)得到。
由误差表达式(6)~(8)及式(12)可以看出, 为了计算大气水分含量空间异质性引起的误差Δ w(Ts), 需要知道地表真实温度Ts和地物比辐射率ε , 而这在我们的实验中无法获得。因此, 本研究方案假定区域内分布的是均质等温物体(具有相同的温度和比辐射率), 在不同的大气水分含量分布情形下, 进行一系列的组合实验。实验中对地表温度和比辐射率做如下组合: 地表温度取10℃、15℃、20℃及25℃, 地表比辐射率取0.95、0.96、0.97、0.98及0.99, 共得到20个组合, 在每一区域大气水分含量分布情形下进行20次模拟。
2.1.1 统计分析结果
区域大气水分含量的分布直方图(图1)显示: 在冬季组, 北京、西安及武汉的大气水分含量低, 且分布集中; 厦门、上海的大气水分含量分布跨度大且很分散; 广州的大气水分含量较高, 中度分散。在秋季组, 北京、西安的大气水分含量相对较低, 分布集中; 上海、厦门及广州的大气水分含量分布跨度大且很分散, 表现出明显的空间异质性; 武汉的大气水分含量处于中等水平, 分布较集中。可见, 在区域尺度, 大气水分含量的空间分布在不同区域、不同时相的变异程度差异明显。
2.1.2 空间分析结果
全局Moran I 指数(略)显示大气水分含量的分布在不同区域、不同时相均存在显著的空间自相关性, 呈现聚集分布。
图2显示, 各区域的标准化变差函数曲线存在不同程度的时相间和方向间差异。其中最明显的是上海区域, 秋季时相垂直向的曲线变化与其他曲线截然不同。虽然武汉、西安区域的标准化变差函数曲线形状和走势在时相和方向间差异相对小些, 但曲线的变化速率却存在较明显的差异。有些区域的标准化变差函数曲线呈现周期性特征, 如厦门。由于研究区域范围不够大, 对有些区域来说, 还不足以探测到大气水分含量的空间分布格局。
分形维数的统计结果(表2)表明, 大气水分含量的空间异质性程度表现出区域、时相及方向间存有差异。
| 表2 区域大气水分含量分形维数统计 Tab.2 Fractal statistics of atmospheric water vapor in different regions |
最大标准化函数值出现的空间滞后距, 说明大气水分含量的空间结构性差异; 分维数大小差异, 说明大气水分含量的空间异质性程度的差异。分形维数值越小表明空间异质性程度越大, 由此判断冬季时相厦门区域(平均分形维数为1.18)的大气水分含量的空间异质性要大于北京区域(平均分形维数为1.395)。
大气水分含量空间分布存在的区域、时相和方向差异, 可能给地表温度遥感反演带来以下影响: ①以某点大气水分含量代表整个区域面上的情况会给反演带来误差; ②在不同区域和时相反演结果中, 由大气水分含量的异质性所导致的误差值有差异; ③同一区域某时相反演结果的误差在空间上的聚集分布。
过高的大气水分含量会使大气透过率很低, 大气上、下行辐射偏大, 严重影响传感器接收的地物辐射信息。本文是在未考虑大气水分含量偏高的情形下进行的模拟试验(如秋季组中的武汉、上海)。
受篇幅限制, 文章仅对厦门、北京及广州3个区域冬季大气水分含量分布条件下的模拟实验结果进行分析。厦门的结果显示, 大气水分含量空间分布异质性使得不同温度与比辐射率组合条件下的模拟结果均存在一定的误差, 最大误差范围在1~1.5℃之间, 对应的相对误差范围在5%~15%之间; 北京的结果显示, 由于大气水分含量空间分布相对均匀, 模拟结果的误差要小很多, 最大误差范围在0.1~0.2 ℃之间, 相应地, 最大相对误差范围约在0.5%~2%之间。对比广州与厦门的情况发现, 由于大气水分含量空间变异性程度较大, 使得误差范围在0.5~2℃之间, 相对误差范围约在2%~20%之间, 不同之处在于广州的大气水分含量背景值要高于厦门区域的值(厦门为0.525 g/cm2 , 广州为1.715 g/cm2), 误差值也高于厦门的(表3)。
通过对比以上的组合模拟实验, 可以得到如下结论: 区域大气水分含量的空间异质性会给地表温度遥感反演带来不同程度的误差, 误差的大小与大气水分含量的异质性和取值大小有关。值得注意的是, 虽然区域大气水分含量的空间异质性对地表温度遥感反演的误差与地表自身温度和比辐射率有关, 模拟试验显示, 相对于大气水分含量的影响, 二者的影响要小得多。所以, 区域大气水分含量的空间异质性, 使得用某一点上的大气参数代表整个区域的大气状况是不可取的, 会给单波段地表温度反演结果带来误差。
| 表3 不同温度与比辐射率组合下的大气水分含量空间异质性导致的误差 Tab.3 Error resulted from heterogeneity of atmospheric water vapor at different conditions |
尽管大气水分含量的空间异质性存在区域、时相及方向差异, 标准化变差函数值的曲线也不同(图2), 但通过观察发现, 所有曲线的前端点对应的变差值很小, 相对于最大变差值来说可以忽略。这说明区域大气水分含量的空间异质性主要出现在较大的空间范围内, 而在MODIS像元尺度内的异质性可以忽略, 可以认为在1 km× 1 km内的大气水分含量是均质的。这样, 可以通过对中等分辨率的MODIS大气产品做适当的空间插值和重采样, 辅助Landsat热红外数据实现地表温度的准确反演。另外, 如前所述, Terra星与Landsat星的过境时间比较接近, 时差在1 h内, 所以, 在大气状态相对稳定的条件下, 利用Terra星过境时刻的大气条件表征Landsat星过境时刻的大气条件是可行的。
理论上, 卫星遥感得到的大气参数有在它们的真值附近随机分布的性质, 利用此类产品进行大气校正, 不会严重影响地表温度反演精度[12]。厉华等在这方面的尝试也表明以MODIS的大气水分含量信息为辅助可以获取更为合理的地表温度[10]。
已有研究表明, MODIS大气产品对小尺度地区的研究并不一定适用, 存在误差[20]。由于本文主要目的是探讨区域大气水分含量的空间异质性对地表温度反演的影响程度, 而不涉及区域地表温度的真实反演, 所以直接采用MODIS的大气产品, 而对MODIS大气产品在实际研究区域的准确性与校正, 还需进一步的工作。
(1)采用1 km× 1 km MODIS MOD 5_L2产品分析了6个不同类型区域的瞬时大气水分含量的空间异质性, 表明区域大气水分含量的空间异质性是普遍存在的, 空间异质性程度存在区域、时相以及方向间差异。
(2)大气水分含量对热红外波段影响很大, 以往假定区域大气水分含量均质或以某点的大气状况代表整个区域的做法不可避免地会给地表温度反演带来误差。针对Landsat 5热红外波段, 以辐射传输方程和Planck方程为基础, 结合与大气水分含量有关的经验关系式, 推导了大气水分含量对地表温度反演的误差分析模型。
(3)以不同空间异质性状况的大气水分含量产品为条件, 模拟计算了其空间异质性对地表温度反演的可能影响误差。结果显示, 大气水分含量的空间异质性对地表温度反演影响误差的大小明显地与大气水分含量值和异质性程度有关: 大气水分含量的空间异质性相对较大时, 误差值和误差范围比较大, 而当大气水分含量分布较均匀时, 误差值和误差范围比较小。
(4)大气水分含量空间异质性及其差异的存在, 充分说明了区域面上大气参数的获得对准确反演地表温度的重要性。
(5)定量空间分析表明, MODIS大气水分含量产品辅助Landsat热红外数据进行地表温度反演具有可行性。
由于条件所限, 本研究仅通过模拟试验统计分析了大气水分含量空间异质性可能导致的地表温度反演误差, 下一步将加强对反演误差空间分布格局的研究。
致谢: 感谢邱全毅博士在数据处理方面给予的建议; 感谢西班牙瓦伦西亚大学的J. C. Jimenez- Munoz博士提供的文献支持; 感谢NASA提供的免费MODIS大气水分含量产品。同时, 对审稿人表示感谢!
The authors have declared that no competing interests exist.
| [1] |
|
| [2] |
|
| [3] |
|
| [4] |
|
| [5] |
|
| [6] |
|
| [7] |
|
| [8] |
|
| [9] |
|
| [10] |
|
| [11] |
|
| [12] |
|
| [13] |
|
| [14] |
|
| [15] |
|
| [16] |
|
| [17] |
|
| [18] |
|
| [19] |
|
| [20] |
|





