|
|
微地形上太阳辐射模拟及与地表温度关系研究
|
魏胜龙1,2 , 陈志彪1,3 , 陈志强1,3, 王秋云1,2, 马秀丽1,2, 鄢新余1,2 |
Simulation of the total solar radiation over micro-landform and correlation between the solar radiation and the land surface temperature
|
WEI Shenglong 1,2 , CHEN Zhibiao 1,3 , CHEN Zhiqiang 1,3, WANG Qiuyun 1,2, MA Xiuli 1,2, YAN Xinyu 1,2
|
|
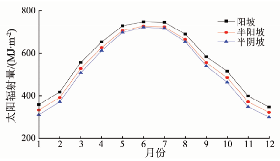
| 实验样区不同坡向太阳辐射量月变化图 |
|
|
 |
|
|