第一作者: 亢红霞(1988-),女,硕士研究生,主要方向为资源环境遥感。Email:kanghongxia_0103@163.com。
以松嫩平原湿地为研究对象,基于多源遥感数据、地理辅助数据和社会统计数据,运用市场价值法、费用替代法、碳税和造林成本法等,对松嫩平原湿地生态系统的4个大类、10个子类的服务功能进行了价值评估。结果表明,1980年、1995年、2000年和2010年的生态服务价值分别为377.45,331.06,321.37和291.35亿元,呈明显下降趋势; 4大类服务功能价值整体表现为调节功能>供给功能>文化功能>支持功能,其中调节功能、供给功能和支持功能呈逐年下降趋势,年均下降分别为1.69亿元、1.13亿元和0.45亿元,而文化功能波动较大,出现双峰现象。研究发现调节功能中蓄水调节、文化功能中科研文化及供给功能中生物栖息地3项服务功能价值相对较高,在松嫩平原湿地生态系统服务功能中占主导地位。从空间上看,松嫩平原湿地服务功能价值在松嫩平原的北部地区变化较大,价值下降幅度较高; 松嫩平原西南部地区价值增加,但增加幅度相对较小。本研究对松嫩平原湿地服务功能价值进行了定量化评估,为湿地资源的有效保护与开发提供了科学依据和理论支持。
With the deepening of research on wetland ecosystems, researchers have paid more and more attention to wetland value of ecosystem service. The authors divided the wetland ecosystem services of the Songnen Plain into four categories, i.e., provisioning, regulating, cultural and supporting services, and their respective ecosystem characteristics, structures and processes were considered. The authors assessed and evaluated 10 ecosystem services from wetlands in the Songnen Plain during 1980—2010, namely material production, carbon sequestration, water retention ability, water quality purification, nutrient cycling, wild species habitat, recreation service, culture and scientific research, releasing oxygen and soil erosion control, based on Landsat MSS/TM, AVHRR and MODIS remote sensing image, and multi-source data such as basic geography, field survey and social statistics. The market value method, carbon tax and afforestation cost method, shadow engineering method, substitution expense, expert method and other methods were adopted. For the requirements of assessment operations, especially valuation of changes and spatial-temporal changes of wetland ecosystem services, the authors consider that the administrative districts and counties in Songnen could be taken as the assessing units. The results show that the total value of the ecosystem services for wetland of Songnen Plain in 1980, 1995, 2000 and 2010 were 377.45×108, 331.06×108, 321.37×108, 291.35×108 CNY, respectively. Among the four main categories, regulating service had the maximal value, followed by cultural service and supply service, and the support service had the lowest value. The regulating service and supply service declined year by year, with 1.69×108, 1.13×108 CNY per year. The cultural service was not stable and had twin peaks, one was 1980, and the other was 2010, with 0.45×108 CNY per year. Among ten subclasses, water quality purification and culture and scientific research services had higher value than others. Spatially, most of the wetland value decreased area was mainly embodied in the north, and most of the wetland value increased area was mainly located in central and southwest Songnen Plain. The results obtained by the authors provide decision makers’ theory support for the effective protection of the wetland resources and planning of development policy by means of quantitative evaluation of wetland ecosystem services.
20世纪70年代, 生态系统服务功能成为生态学和生态经济学研究的一个新兴分支, 并受到广泛关注, 随后掀起了生态经济学和社会资源学的研究者对生态系统服务功能研究的热潮[1, 2]。湿地是全球3大生态系统之一, 具有分布广泛、类型繁多、功能多样、物种丰富以及抵抗力和稳定性强等特点, 拥有“ 地球之肾” 的美誉。21世纪初, 随着气候、环境的不断变化及人类活动的干扰, 生态环境不断遭受破坏, 湿地生态功能日益衰退, 严重影响了区域社会经济的可持续发展。
1997年Constanza等[2]对全球生物圈分类, 将生态系统服务功能分为气体调节、气候调节、休闲娱乐、文化等17个服务类型, 阐述了生物多样性与生态系统服务的关系, 首次对全球湿地生态系统服务功能价值进行了初步估算。De Groot等[3]从生态系统功能的角度出发, 将生态系统服务分为调节功能、栖息地功能、生产功能和信息功能等4大类。Schä gner等[4]和Brander等[5]从评价的角度将湿地生态系统服务分为水质净化、水量供给、洪水调节、休闲娱乐、栖息地等功能。Fisher等[6]从管理的角度出发, 将湿地生态系统服务分非生物输出、中间服务、最终服务、效益4大类功能。江波等[7]、贾军梅等[8]、周葆华等[9]从对人类效益的角度将湿地生态系统服务分为淡水产品、水资源产品、芦苇产品、水电供给、固碳、释放氧气输沙、水质净化、调蓄洪水、蓄水、土壤保持、维持生物多样性和旅游等多种功能。
早期的湿地生态系统服务功能评价主要是针对某项或多项特定的功能进行定性评价, 不能直观表达湿地生态系统服务功能的价值[10, 11]。为了更好地评价湿地生态系统的服务价值, 研究者相继提出了能值分析法、物质量法和价值量法等一系列评价方法。能值分析法是以能量为核心, 把不同种类、不可比较的能量转换成统一标准进行比较的系统分析法, 但能值转化率难度较大, 某些物质与能量关系较弱[12, 13]。物质量评价法从物质量的角度对较大区域的生态系统各项服务功能进行定量评价, 但该方法得到的单项生态系统服务的量纲不同, 无法汇总, 因而很难评价生态系统的整体服务价值[14, 15]。价值量评价法是以货币的形式呈现生态系统服务的价值, 评价结果易于加和比较[16]。但在以往的研究中, 大多数研究者仅从单一角度对湿地服务功能进行划分, 而且该方法得到的价值通常没有空间分布特征, 无法避免区域生态价值重复计算的弊病。
本研究从功能和对人类效益的角度将松嫩平原湿地生态系统分为调节服务功能、供给服务功能、文化服务功能和支持服务功能4大类。采用将物质量和价值量相结合的价值评价方法, 对松嫩平原1980年、1995年、2000年和2010年湿地生态系统服务功能价值进行定量化评估, 从生态补偿、区域管理以及湿地保护政策制定的角度, 按市(县)行政区域为尺度对其时空变化特征进行分析, 为区域管理提供一定的区域理论划分依据, 旨在合理开发利用松嫩平原湿地资源, 实现区域社会经济的可持续发展。
松嫩平原是我国主要的平原之一, 总面积23.1万km2, 位于黑龙江省西南部和吉林省西北部, 地处N 42° 50'~47° 20', E 121° 40'~129° 30', 主要由松花江及其支流嫩江冲积而成。松嫩平原有54个市(县), 其中黑龙江省辖区内的包括哈尔滨市、齐齐哈尔市、绥化市、大庆市及黑河市等共37个市(县), 分布在吉林省内的有白城市、松原市及长春市等共17个市(县)。该区属于温带大陆性半湿润、半干旱季风气候, 四季分明, 冬季寒冷干燥, 夏季温暖多雨; 年平均气温在1.6~5.0 ℃之间, 1月气温最低, 平均-26~-16 ℃, 7月温度最高; 年平均降水量为360~450 mm, 自东向西逐渐减少。近几十年研究区受人类过度放牧、建筑用地扩张、水体工程修建等活动影响, 湿地面积锐减、盐渍化程度增强, 植被退化严重, 湿地生态环境问题日益突出, 表现为湖泡缺水、水质恶化等生态功能退化现象。
本研究主要数据源包括多源遥感数据、地理辅助数据(数值高程模型、松嫩平原县域矢量数据、土壤数据等)、湿地监测以及社会经济统计数据。遥感数据包括1980年、1995年、2000年和2010年4期26景Landsat MSS/TM影像。
首先将Landsat MSS /TM数据与1∶ 100 000地形图配准, 并进行影像镶嵌等预处理; 根据不同土地利用类型的色调、纹理等特征建立遥感解译标志; 基于人机交互判读、查错、修改等步骤对影像进行目视解译, 提取滩涂、沼泽、坑塘、湖泊和河流等5种自然湿地类型; 最后利用野外考察的GPS定位点和Google Earth高分辨率影像获取的样点, 对解译结果进行修正和评价, 编制松嫩平原土地利用/覆被图, 分类精度达到80%。收集了1980年和1995年AVHRR数据每月合成的5 km叶面积指数(leaf area index, LAI)产品数据及2000年和2010年覆盖松嫩平原轨道号h26v04和h27v04的MOD15数据每8d合成的1 km LAI产品数据, 用于植被冠层吸收的光合有效辐射比例(fAPAR)的估算, 它是光能利用率模型(C-Fix)估算NEP的一个关键性中间变量。
地理辅助数据有DEM数据和土壤数据。DEM数据源自美国宇航局NASA提供的SRTM数据。通过ESRI公司提供的Hydro工具计算水流方向, 进一步计算土壤侵蚀方程(universal soil loss equation, USLE)中坡度坡向的地形因子。土壤数据采用全国第二次土壤调查1∶ 500万数据, 包括土壤类型、质地、有机质含量等数据, 用于驱动USLE模型土壤可蚀性因子的计算。
湿地监测数据包括野外实测数据和气象站站点监测数据, 实测数据采用2010年8月松嫩平原西部湿地采样结果, 包括土壤表层深度, 以及经晾晒、烘培、称重等处理获取土壤容重等数据; 气象数据采用英国东英吉利大学气候研究所(CRU)提供的气象要素数据集, 该数据集是根据陆面实际观测资料插值得到 0.5° × 0.5° 的网格数据集, 其网格数据与我国实际气温资料的相关系数达0.84。
社会经济统计数据为1980— 2010年间全国统计年鉴、松嫩平原区域内各市(县)统计年鉴, 从中提取芦苇、莲、菱等植被, 鱼、虾、蟹等水产品产量, 以及国内旅游人数和收入, 外籍旅游人数和外汇收入等数据。
本文根据适用性和可行性的原则, 结合湿地生态系统的特征结构和生态过程以及研究区特点, 将松嫩平原湿地生态系统服务功能分为调节服务功能、供给服务功能、文化服务功能和支持服务功能4大类, 包括10个子类, 如表1所示。
| 表1 生态系统服务功能类型及评估方法 Tab.1 Classification and evaluation methods of ecosystem service |
2.2.1 服务功能物质量化方法
在GIS的支持下, 选取了10个子类服务功能物质量化的模型、参数。
2.2.2 服务功能价值评估方法
为估算结果的可比性, 采用2010年物价、美元汇率等进行价值估算。
2.2.3 区域尺度分割方法
物质量化过程得到的服务功能有2种形式, 其中固碳、释氧、蓄水调节、水质净化、营养物质供给、生物栖息地供给、科研文化和土壤侵蚀控制等是以像元尺度计算, 物质生产、旅游休憩是以市(县)行政区域为尺度计算。为便于从区域管理的角度对估算结果进行评价, 对于像元尺度的量化结果采用ArcGIS软件的区域统计(zonal statistics)工具生成以市(县)行政区域为尺度的物质量化空间图, 结合对应的价值评价方法, 得到区域价值空间分布。本文服务功能价值估算对应的评估模型和方法如表2所示。
| 表2 湿地生态服务功能综合评估指标模型及其参数 Tab.2 Comprehensive assessment index of wetland ecology service function and models |
3.1.1 湿地服务功能总价值变化
1980年、1995年、2000年和2010年松嫩平原湿地生态系统服务功能总价值如表3所示。从表3可以看出, 1980— 2010年间松嫩平原湿地生态服务价值总体呈下降趋势, 总价值降低22.81%, 年均价值下降2.87亿元, 其中2000— 2010年间下降30.02亿元, 年均下降3.00亿元, 下降幅度与20世纪末相比有所增大。
| 表3 1980— 2010年间总价值和4大类服务功能价值及比例统计 Tab.3 Wetland ecosystem total and four categories value and ratio from 1980— 2010 |
研究表明, 1980年、1995年和2000年4大体系服务功能价值均表现为调节服务功能> 供给服务功能> 文化服务功能> 支持服务功能, 仅2010年有所不同, 表现为调节服务功能> 文化服务功能> 供给服务功能> 支持服务功能, 其中调节功能、供给功能价值持续下降。
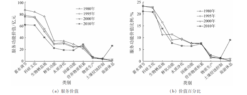
1980— 2010年间各子类服务功能价值对比图如图1所示。
| 图1 1980— 2010年间各子类服务功能价值对比图(a)及价值百分比图(b)Fig.1 Value contrast figure (a) and ratio contrast figure (b) of subclasses in 1980— 2010s |
3.1.2调节服务功能价值变化
调节服务功能价值在1980— 2010年间总价值呈下降趋势, 年均下降1.69亿元。其中, 2000— 2010年间下降幅度最大, 是20世纪80年代及90年代的2倍多(表3)。1980— 2010年间调节功能占总价值比例在40.67%~34.31%之间, 其中蓄水调节功能占比重最高(图1(a)), 是湿地生态系统核心价值功能之一; 水质净化和固碳功能价值所占比重较低且较为接近(图1(b))。
3.1.3供给服务功能价值变化
在1980— 2010年间供给功能价值总体也呈下降趋势, 年均下降0.86亿元, 其中1980年价值与其他年份相比下降幅度最大(表3)。从图1(a)可知, 营养物质供给和物质生产功能价值相对稳定, 因此主要价值下降是由生物栖息地价值下降, 但下降幅度不大, 分析土地利用变化是由于2000年滩地和沼泽地的面积有不同程度增加, 共增加606.43 km2。
3.1.4 文化服务功能价值变化
据表3统计可以看到文化功能价值出现双峰现象, 2010年价值高于1980年。文化服务功能由科研文化功能和旅游休憩功能构成, 虽然在1980年旅游休憩的价值很低, 但科研文化的价值居高, 这是出现双峰现象的主要原因(图1(a))。同理, 2000— 2010年间虽然科研文化功能价值逐年降低; 但旅游休憩的价值却持续上升, 2010年高出2000年8倍有余, 这与人们生活水平逐年提高, 外出旅游人数增加, 各地旅游景点旅游收入增加息息相关。
3.1.5 支持服务功能价值变化
支持功能价值在1980— 2010年间同样呈逐年下降趋势, 主要体现在释氧功能价值的降低(图1(a))。从服务功能组成项的贡献率可知, 土壤侵蚀控制的比例基本稳定, 释氧功能价值比例表现为先下降后升高, 再下降趋势(图1(b))。可能由于区域气候、水文变化及人为干扰影响较大等原因, 导致植被生产力下降。
松嫩平原湿地是典型的湖沼湿地以松嫩平原西部最为集中, 松嫩平原湿地生态系统服务功能价值主要分布在大庆市、黑河市、齐齐哈尔市、绥化市、哈尔滨市、白城市、松原市、长春市及四平市共9个市, 54个地区。1980— 2010年间湿地生态服务功能价值量评估结果分布情况如图2所示, 与实际区域地理位置相符, 价值变化量及变化率如表4所示。分布情况见图3。
| 图2 1980— 2010年间湿地生态服务功能价值量评估结果空间分布(万元)Fig.2 The spatial distribution of valuation result in 1980— 2010s |
| 表4 1980— 2010年间各市湿地服务功能价值变化量及变化率 Tab.4 Valuation of change and change ratio in districts and counties during 1980— 2010 |
| 图3 1980— 2010年湿地生态服务功能价值变化分布图及变化率空间图Fig.3 The spatial distribution figure of value contrast and ratio change during 1980— 2010s |
由表4可见, 近30 a来松嫩平原各市湿地服务功能价值变化程度不同, 1980— 1995年间, 除吉林省的长春市和四平市价值上升, 其他市价值均呈不同程度下降趋势, 其中齐齐哈尔市、白城市和大庆市价值下降量最大, 价值下降率分别为169.86%、115.92%和68.35%。1995— 2000年间, 松嫩平原中部湿地服务功能价值有所增加, 体现在绥化市、齐齐哈尔市和哈尔滨市。价值增加最多的为绥化市, 价值增加率达157.47%, 其他市价值都有不同程度的下降。2000— 2010年间除大庆市、黑河市、齐齐哈尔市以及绥化市价值下降外, 其余市价值均增加, 其中黑龙江省以哈尔滨市为主, 吉林省则有白城市、松原市、长春市和四平市等。
结合图2、图3和表4分析可知, 1980— 2010年间, 松嫩平原湿地生态服务功能价值减小的典型地区有北部黑河市的北安、德都县, 东北部绥化市的绥棱县、海伦、明水县及兰西县, 西北部齐齐哈尔市的拜泉县、克山县, 哈尔滨市的阿城区, 以及东南部位于吉林省白城市(图3(a)), 其价值下降率均大于45%(图3(b))。而价值增加的典型地区主要有齐齐哈尔市的依安县和齐齐哈尔, 绥化市的望奎县, 哈尔滨市的哈尔滨和五常县, 白城市的通榆县, 松原市的乾安县, 长春市的九台县和榆树县, 四平市的伊通满族自治县, 其价值增加的县域价值增长率与价值降低的县域价值降低率相比偏低, 且价值增加的地区大部分集中在吉林省内(图3(a)), 因而1980— 2010年间松嫩平原湿地的价值分布具有从东北和西北角向西南方向转移的趋势。李闯等[24, 25]研究也表明由于区域水文、气候波动、水利工程等人类活动的干扰, 自1980年起松嫩平原湿地景观格局发生了显著变化, 体现在湿地面积的减少, 湿地分布质心向西南方向的偏移, 这与本文价值评价结果相符。
1)1980— 2010年间的生态服务价值呈现逐年降低的趋势; 湿地生态系统服务功能价值总体表现为调节服务功能> 供给服务功能> 文化服务功能> 支持服务功能; 松嫩平原地处半干旱地带, 温度升高, 导致降雨量下降, 区域蒸散量增大, 从而区域湿地服务功能调节功能中蓄水功能、水质净化功能价值下降; 水利工程、建筑用地扩大等使松嫩平原湿地功能不断退化, 湿地营养物质供给功能、生物栖息地供给功能价值也随之下降; 但近年来人们生活水平的提高, 各地旅游收入增加, 以及科研机构和高等学府对湿地服务功能的重视, 文化功能的重要性得到体现。
2)从空间上看, 松嫩平原湿地服务功能价值在松嫩平原的北部地区变化较大, 价值下降幅度较高; 松嫩平原西南部地区价值增加, 但增加幅度相对较小, 松嫩平原湿地分布质心偏移, 湿地服务功能价值呈向西南方向转移的趋势。
3)在研究过程中, 由于研究基础的局限, 还存在着研究区生态服务功能评价不完善、评价精度有待提高等问题, 如在物质生产价值估算过程中只考虑了研究区出产的主要产品的价值, 而忽略了其他出产的且对人类有益的产品价值, 从而导致其总体结果偏低。今后应进一步研究更为适宜的评估方法, 构建湿地生态系统服务功能动态预测模型, 以探究松嫩平原湿地的生态补偿机制。
The authors have declared that no competing interests exist.
| [1] |
|
| [2] |
|
| [3] |
|
| [4] |
|
| [5] |
|
| [6] |
|
| [7] |
|
| [8] |
|
| [9] |
|
| [10] |
|
| [11] |
|
| [12] |
|
| [13] |
|
| [14] |
|
| [15] |
|
| [16] |
|
| [17] |
|
| [18] |
|
| [19] |
|
| [20] |
|
| [21] |
|
| [22] |
|
| [23] |
|
| [24] |
|
| [25] |
|

