天津市南部平原地面沉降区新兴风险评估 |
| 于海若, 宫辉力, 陈蓓蓓, 周超凡 |
|
Emerging risk assessment of areas subject to land subsidence in the southern plain of Tianjin, China |
| YU Hairuo, GONG Huili, CHEN Beibei, ZHOU Chaofan |
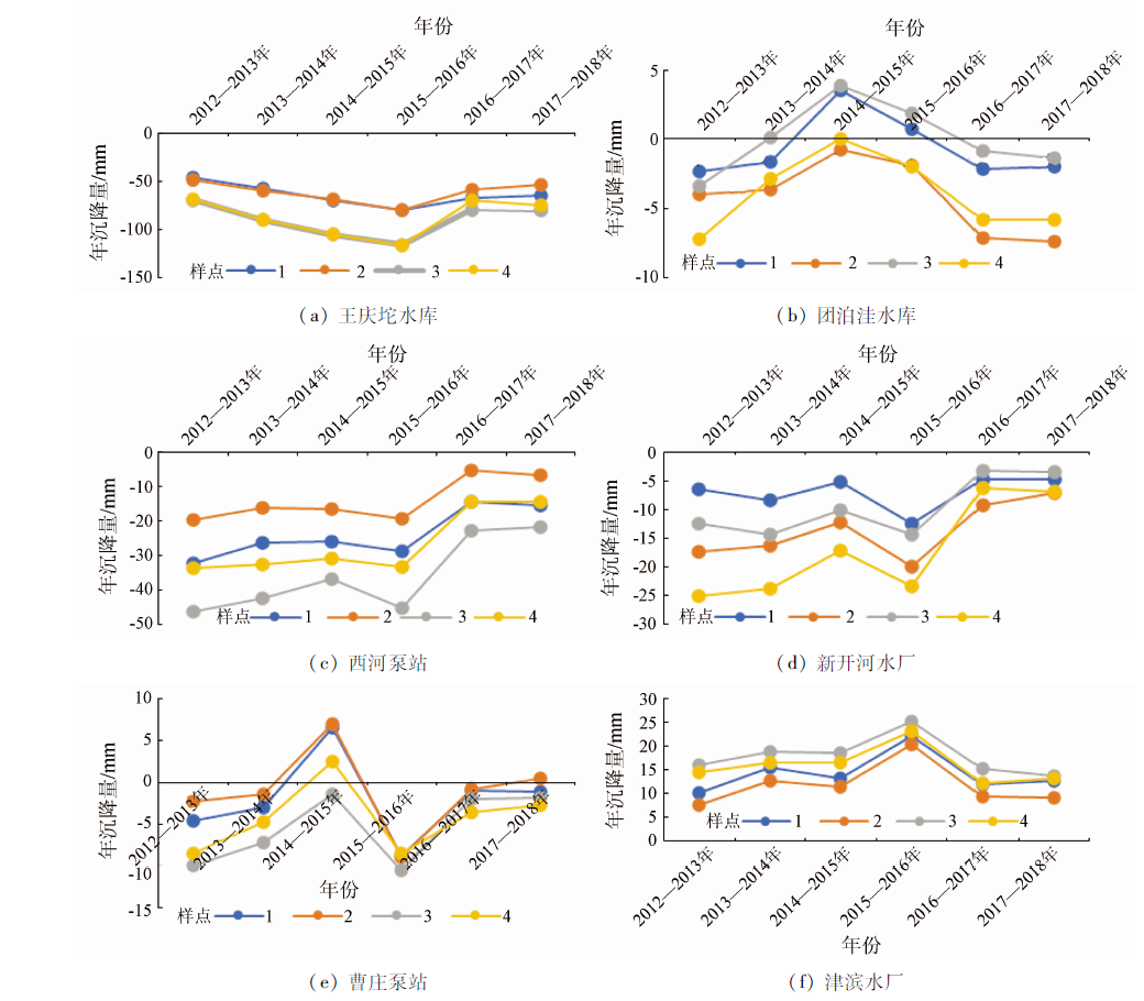
| 图12 天津市南水北调水站水厂年沉降量折线图 |
| Fig.12 Annual settlement of water plant of Tianjin South-to-North Water Diversion Project |
|