基于时序Sentinel-2数据的江汉平原养殖池提取 |
| 陈志洋, 毛德华, 王宗明, 林楠, 贾明明, 任春颖, 王铭 |
|
Information extraction of aquaculture ponds in the Jianghan Plain based on Sentinel-2 time-series data |
| CHEN Zhiyang, MAO Dehua, WANG Zongming, LIN Nan, JIA Mingming, REN Chunying, WANG Ming |
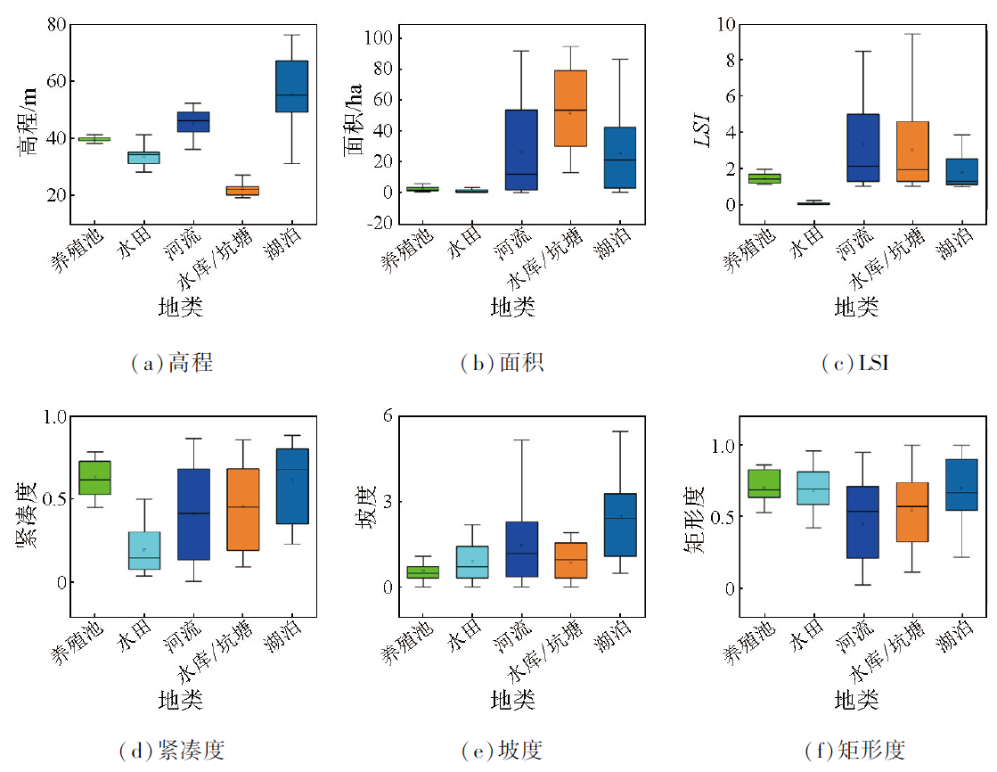
| 图6 养殖池与其他水体的形状特征分析 |
| Fig.6 Characterization of the shape of aquaculture ponds in relation to other water bodies |
|