基于GEE与多源遥感数据的黄河三角洲湿地植物群落分类 |
| 张念秋, 毛德华, 冯凯东, 甄佳宁, 相恒星, 任永星 |
|
Classification of wetland plant communities in the Yellow River Delta based on GEE and multisource remote sensing data |
| ZHANG Nianqiu, MAO Dehua, FENG Kaidong, ZHEN Jianing, XIANG Hengxing, REN Yongxing |
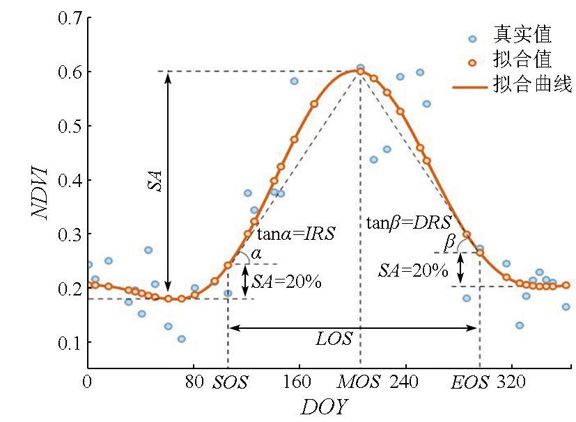
| 图2 基于二项傅里叶函数的NDVI拟合曲线 |
| Fig.2 Illustration of the NDVI fitted curve based on the two-term Fourier function |
|