星地协同下地块尺度柑橘黄龙病监测技术研究 |
| 谢国雪, 黄启厅, 杨绍锷, 梁永检, 覃泽林, 苏秋群 |
|
Exploring the monitoring technology for Huanglongbing at the plot scale under satellite-ground collaboration |
| XIE Guoxue, HUANG Qiting, YANG Shaoe, LIANG Yongjian, QIN Zelin, SU Qiuqun |
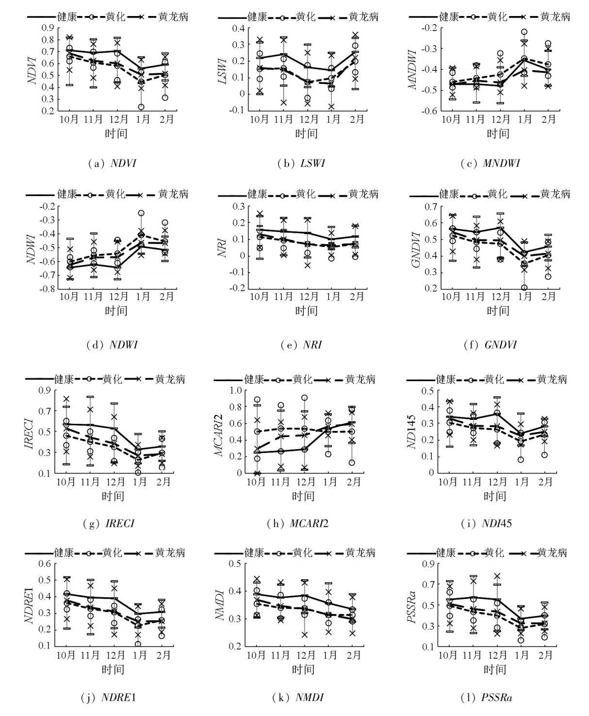
| 图4 多特征时间序列均值曲线图 |
| Fig.4 Mean curve of multi-feature time series |
|