基于特征空间增强下空谱全变差非负矩阵分解的高光谱解混 |
| 覃子怡, 杨隆珊 |
|
Hyperspectral unmixing based on spectral-spatial total variation nonnegative matrix factorization with feature space augmentation |
| QIN Ziyi, YANG Longshan |
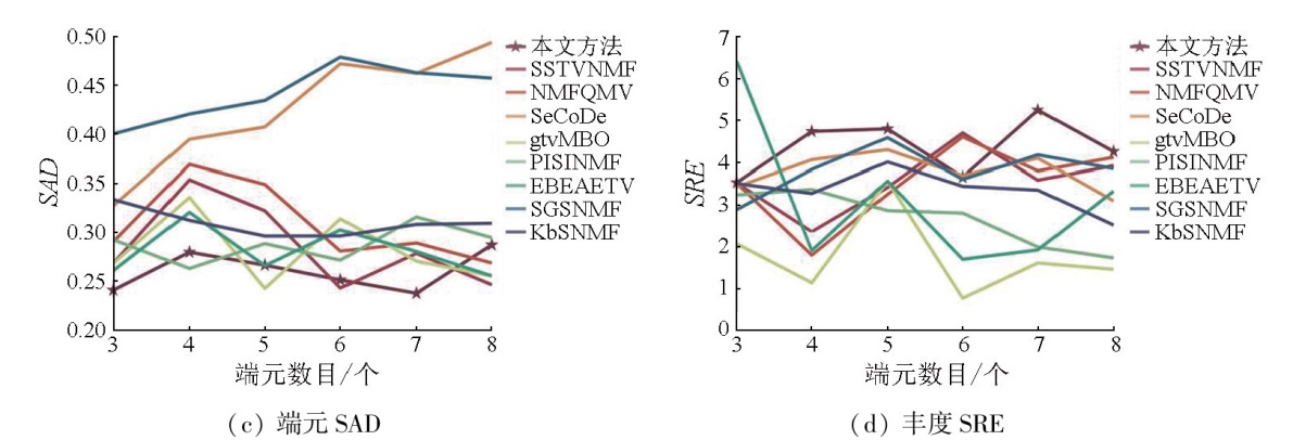
| 图4-2 端元数量对算法性能的影响 |
| Fig.4-2 Effect of endmember numbers on the unmixing performance |
|