国产高分辨率热红外数据城市地表温度反演及其应用
李经纶, 陈虹, 李坤, 窦显辉, 赵航, 曾健, 张学文, 钱永刚

A method for inversion of urban land surface temperature and its application in domestic high-resolution thermal infrared data
LI Jinglun, CHEN Hong, LI Kun, DOU Xianhui, ZHAO Hang, ZENG Jian, ZHANG Xuewen, QIAN Yonggang
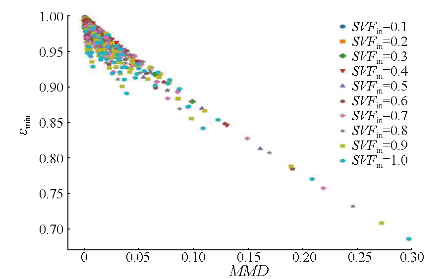
图3 不同 S V F i n下的 ε m i n - M M D散点图
Fig.3 Scatterplot of εmin and MMD with different SVFin values