2000—2020年中国植被时空变化格局及其对气候作用的滞后响应分析
许颖, 张润泽, 郭兵

Spatiotemporal variations of 2000—2020 vegetation in China and their time-lag responses to climate
XU Ying, ZHANG Runze, GUO Bing
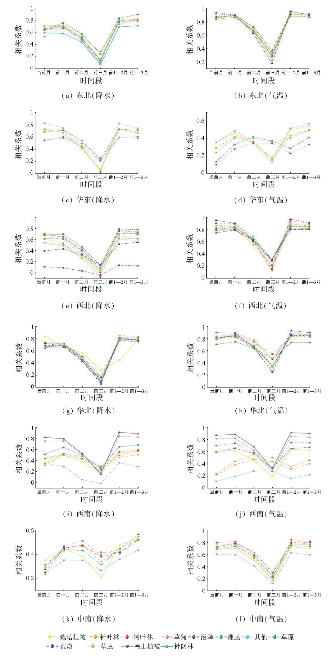
图6 不同分区滞后性
Fig.6 Lag effects in different regions