金沙滩近岸水体叶绿素a和悬浮物遥感反演研究
齐鲁工业大学(山东省科学院),山东省科学院海洋仪器仪表研究所,山东省海洋监测仪器装备技术重点实验室,国家海洋监测设备工程技术研究中心,青岛 266061
Remote sensing retrieval of chlorophyll-a and suspended matter in coastal waters of Golden Beach
Institute of Oceanographic Instrumentation, Qilu University of Technology (Shandong Academy of Sciences), Shandong Provincial Key Laboratory of Marine Monitoring Instrument Equipment Technology, National Engineering and Technological Research Center of Marine Monitoring Equipment, Qingdao 266061, China
通讯作者: 王章军(1982-),男,博士,副研究员,主要从事大气、海洋遥感探测技术研究。Email: zhangjun.wang@hotmail.com。
责任编辑: 李瑜
收稿日期: 2019-08-23 修回日期: 2019-12-24 网络出版日期: 2020-09-15
基金资助: |
|
Received: 2019-08-23 Revised: 2019-12-24 Online: 2020-09-15
作者简介 About authors
盖颖颖(1987-),女,硕士,工程师,主要从事遥感图像处理和计算机视觉研究。Email:
针对现有的水质要素反演模型应用于金沙滩近岸水体的水质要素反演精度低的问题,根据机载海洋高光谱仪光谱数据,借鉴已有黄海、东海二类水体水质要素的统计反演模式,建立了基于机载高光谱仪的金沙滩近岸水体叶绿素a和总悬浮物的反演模型,获得了研究区叶绿素a和总悬浮物浓度空间分布,并分析了机载海洋高光谱仪增益对模型反演精度的影响。模型改进后,光谱仪测量数据反演结果与水体取样实测结果的拟合决定系数和平均相对误差分别为: 叶绿素a 0.65,4.41%,总悬浮物 0.80,3.55%。通过对高光谱仪在同一海域相近时间段,但不同增益下获得的光谱数据进行叶绿素a和总悬浮物的反演对比,证明增益变化后,改进模型的反演平均相对误差和均方根误差均有所增加,反演精度降低,但误差仍在可接受范围内,模型稳定性整体良好。
关键词:
In view of the low precision of existing water quality element retrieval models applied to the coastal waters of Golden Beach, the authors, based on the statistical retrieval models of water color for case Ⅱ water body in Yellow Sea and East China Sea by Tang Junwu, established the retrieval models of chlorophyll-a and total suspended matter concentration for coastal waters of Golden Beach by using the spectral data obtained from airborne marine hyper-spectrometer. The spatial distribution of chlorophyll-a and total suspended matter concentration in the study area was obtained and the influence of hyper-spectrometer gain on model retrieval accuracy was analyzed. After the models were improved, the determination coefficients and average relative errors between the retrieval results from spectrometer measurements and the sampling measurements were respectively chlorophyll-a 0.65, 4.41%, and total suspended matter 0.80, 3.55%. Retrieval results from the same spectrometer at the same coordinates and approximate time but under different gains were compared. It is proved that retrieval average relative errors and root mean square errors of improved models are all increased and the retrieval accuracy is reduced if gain changes. However, the error is in the allowable range and the model stability is good overall.
Keywords:
本文引用格式
盖颖颖, 王章军, 杨雷, 周燕, 龚金龙.
GAI Yingying, WANG Zhangjun, YANG Lei, ZHOU Yan, GONG Jinlong.
0 引言
叶绿素a (chlorophyll-a, Chl-a)和总悬浮物 (total suspended matter, TSM)是影响海洋水色的两种重要物质,其浓度变化反映了海水水质污染状况,是海洋环境监测的重要指标[1,2]。高光谱遥感为水质评估提供了精细的水体光谱信息,然而却产生了相当大的空间和时间变化上的不确定性[3],即在不同的区域和不同的季节,水质要素反演模型参数不同,甚至模型结构不同。星载高光谱遥感为快速建立区域性、季节性水质要素反演模型提供了有利条件,目前应用也较为广泛,如Purandara等[4]建立了印度文伯纳德湖Landsat-TM数据和悬浮泥沙浓度之间的关系,并与现场监测数据进行了比较; 张明慧等[5]利用MODIS时间序列影像数据,对福建近岸不同时相Chl-a浓度进行遥感反演,并对反演结果进行了分析; 孙小涵等[6]利用荣成湾Chl-a浓度实测值和HJ-1数据,对3种适用于黄海二类水体的Chl-a浓度反演算法的精度进行了验证,并分析了其浓度时空变化; Cao等[7]基于HJ-1 HSI图像对微山湖Chl-a,TSM和浊度进行了研究,建立了自适应的离散二进制粒子群优化算法。
1 研究区概况与数据源
图1
图1
研究区位置(红色三角形处为研究区)
Fig.1
Location of study area (red triangle represents the study area)
高光谱图像数据来源于山东省科学院海洋仪器仪表研究所设计研发的推扫型机载海洋高光谱成像仪LGH1-1。仪器经过定标,满足各项指标要求。光谱范围为400~1 000 nm,光谱分辨率为2.1 nm,波段数为300。光谱仪由无人机搭载,系统同时集成了惯性导航系统(inertial navigation system, INS)和全球定位系统(global positioning system, GPS),飞行过程中能够实时获取姿态和位置信息。原始影像经过辐射定标、大气校正、几何纠正、航带拼接等预处理后,得到水体遥感反射率影像。本研究中使用的图像采集时间为2018年12月17日,当日天气状况良好,光照较为充足,岸边及海上风力均较小。无人机受电池续航因素限制,飞行时需分成5个航带覆盖整个研究区,研究区范围约为850 m×230 m。由于飞行至最后一个航带时,外界光照强度变弱,因此将光谱仪增益由0提高至2,故第五航带图像亮度变强(如图2中红色方框所示),导致图像镶嵌后整体亮度不一致。其对Chl-a和TSM反演的影响将在后文中讨论。图像获取的同时,在研究区内均匀采集海水样品20个,由于研究海域距离岸边较近,水深较浅,船舶经过极易搅动泥沙上浮,因此到达预定采集地点后需静待几分钟后再采集。采集的海水样品在实验室内根据GB/T 12763.6—2007和GB 17378.7—2007标准采用分光光度法测量Chl-a浓度,采用称重法测量TSM浓度,用于后续建模分析。预处理后研究区遥感反射率影像真彩色合成和水样采集点位分别如图2和图3所示,其中S16,S17和S18未能在机载高光谱仪采集区域内,其余17个点均匀分布于研究区内,后面将对这17个点的光谱数据和实测浓度进行统计分析。
图2
图2
经预处理的海表高光谱真彩色合成影像
Fig.2
Hyperspectral true color synthesis image of sea surface after preprocessed
图3
2 研究方法
2.1 水体光谱特征分析
图4
从图4可以看出,滤波后400~800 nm范围内光谱曲线趋势较为一致,干扰信号去除效果较为理想。从各采样点水体光谱曲线趋势上可看出,金沙滩海域近岸水体的光谱特征基本符合二类水体特征,但又有其独特性。400~500 nm区间由于有色可溶性有机物和Chl-a的共同强吸收作用,光谱值较低,尤其420~440 nm之间有一个反射低谷,是由于藻类物质中的Chl-a吸收蓝紫光波段造成的; 550 nm附近由于悬浮颗粒物散射作用形成较大的反射峰; 660 nm附近存在一个Chl-a的反射率弱吸收谷; 670~700 nm范围内再次出现反射峰,该峰一般认为是Chl-a的荧光峰,其位置和反射率的大小随着Chl-a浓度的升高而向长波方向产生位移[15]; 750~800 nm范围内的反射峰是悬浮泥沙光谱反射率的又一峰值,当水中悬浮泥沙含量增大时,其反射峰也会向长波方向移动,发生红移现象。
为了减少机载采集方式下外界因素对光谱采集的影响,明确机载高光谱反演Chl-a和TSM的敏感波段,对400~800 nm范围内的反射率进行归一化处理,归一化光谱反射率与Chl-a和TSM浓度的相关关系如图5所示。
图5
图5
归一化光谱与Chl-a和TSM相关关系
Fig.5
Correlation between normalized spectra and chlorophyll-a or total suspended matter
由图5可见,归一化光谱反射率与Chl-a和TSM浓度在某些波段呈现出一定的相关性,比较明显的是在564 nm处,TSM浓度与归一化光谱反射率的正相关系数约为0.51,同时从光谱曲线上也可以看出,564 nm处也是悬浮颗粒物的一个反射峰。Chl-a浓度与归一化光谱反射率的相关性不如悬浮物明显,在423 nm处呈现负相关极大值,是由于Chl-a对蓝紫光波段的强吸收作用引起的; 在520 nm处呈正相关极大值,是由于Chl-a对绿光的强反射作用引起的。
2.2 反演模型构建
2.2.1 Chl-a反演
针对Chl-a反演,唐军武等在Tassan模型基础上提出了NSOAS模型[11],即
式中:
虽然金沙滩近岸水体水质清澈,实测TSM含量约在8 ~ 12 mg/L,但冬季Chl-a含量较低,相对来说,悬浮泥沙对光谱曲线的影响更大。为了进一步减少悬浮泥沙对Chl-a反演的影响,需对NSOAS模型进行改进:
式中:
图6
图6
Chl-a模型估测值与实测值对比
Fig.6
Comparison of estimated results and measured results for Chl-a models
表1 Chl-a反演模型改进前后精度对比
Tab.1
模型 | 均方根误差/ (mg·m-3) | 平均相对 误差/% | 决定系数 |
---|---|---|---|
NSOAS模型 | 0.09 | 8.07 | 0.11 |
改进模型 | 0.06 | 4.41 | 0.65 |
2.2.2 TSM反演
对于TSM反演,Tassan根据各水体组分的不同反射特征,建立了反演公式,即
式中:
式中:
结合Tassan模型对悬浮泥沙反射特征和消除Chl-a与黄色物质影响的分析,以及NSOAS线性模型更适用于黄海、东海二类水体的双重考虑,本文选择将两种模型组合形成新的模型,即
式中:
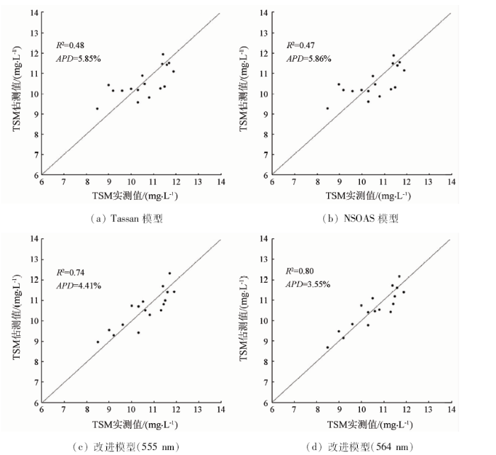
通过对17个海水样品采集点的TSM反演估测值与实测值比较可以看出,Tassan模型和NSOAS模型应用于金沙滩近岸水体TSM反演,其线性拟合决定系数大致相同,均不到0.5,平均相对误差约为5.8%; 而改进后的模型线性拟合决定系数可达0.74,平均相对误差下降为4.41%,证明模型改进后该区域水体TSM反演精度有较大提高,如图7(a)—(c)所示。根据金沙滩近岸水体归一化光谱反射率与TSM浓度的相关性分析,TSM浓度与光谱反射率在564 nm和886 nm处具有较高相关性,因此考虑用564 nm处反射率代替改进模型中555 nm处反射率,其拟合精度又有一定提高,如图7(d)所示。模型改进前后精度对比如表2所示。
图7
图7
TSM模型估测值与实测值对比
Fig.7
Comparison of estimated results and measured results for TSM models
表2 TSM反演模型改进前后精度对比
Tab.2
模型 | 均方根误差/ (mg·L-1) | 平均相对 误差/% | 决定系数 |
---|---|---|---|
Tassan模型 | 0.73 | 5.85 | 0.48 |
NSOAS模型 | 0.73 | 5.86 | 0.47 |
改进模型(555 nm) | 0.52 | 4.41 | 0.74 |
改进模型(564 nm) | 0.45 | 3.55 | 0.80 |
2.3 水色浓度空间分布
将所建立的Chl-a和TSM浓度模型应用于机载高光谱仪获取的高光谱数据上,计算得到该研究区水体Chl-a和TSM浓度空间分布,如图8所示。由图可见,Chl-a浓度约在0.9~1.2 mg/m3之间,由于研究区范围较小,Chl-a整体变化趋势不明显,岸边Chl-a浓度略高于远海; TSM浓度约在8~12 mg/L之间,岸边TSM浓度高于远海,表现出比较明显的变化趋势。获取第五航带图像时,虽提高增益,但第五航带反演结果依然噪声较多,误差较大,特别对于TSM,高光谱仪成像每推扫5 000行保存为一个文件,第五航带中只包含海面的图像受光照影响尤其大,光谱信息几乎被噪声覆盖,因此与其他航带相比,第五航带的反演结果具有较大差异。
图8
图8
研究区Chl-a和TSM浓度空间分布
Fig.8
Spatial distribution of Chl-a and TSM concentration in the study area
2.4 模型敏感性分析
机载海洋高光谱仪获取海面高光谱图像时,若光照条件不佳,需增大高光谱仪增益,提高图像亮度,但是同时也会放大噪声。在曝光时间不变的前提下,增大增益对图像信噪比的影响并不大。随机选择若干第五航带和其他航带重叠区域的位置点,得到其在两个增益条件下获得的光谱曲线对比如图9所示。可见,相同位置海面水体的光谱反射率随着增益增加出现较小程度的增大,但是光谱曲线趋势几乎不变,故与水质要素反演相关的敏感波段位置没有太大变化。
图9
图9
不同增益下海水光谱曲线对比
Fig.9
Comparison of seawater spectral curves under different gains
为了研究不同增益对Chl-a和TSM反演模型的敏感性,从增益为0的采样点中随机选择11个用于拟合反演模型,对其他增益为0和增益为2的采样点分别进行验证,计算其平均相对误差和均方根误差如表3所示。
表3 不同增益下模型估算误差表
Tab.3
水质要素 | 拟合点增益 | 验证点增益 | 平均相对 误差/% | 均方根误差 |
---|---|---|---|---|
Chl-a | 0 | 0 | 8.99 | 0.09 mg/m3 |
0 | 2 | 15.90 | 0.20 mg/m3 | |
TSM | 0 | 0 | 8.02 | 0.86 mg/L |
0 | 2 | 9.41 | 1.25 mg/L |
由上表可知,针对两种水质要素,以增益为0部分采样点拟合模型参数,估算增益为2采样点的水色浓度误差总是高于增益为0采样点。可见增益变化之后,模型估算的平均相对误差和均方根误差均有所增加,但误差在可以接受的范围内,总体来说模型还具有较好的稳定性。
3 结论
本文针对金沙滩近岸水体Chl-a和TSM浓度的遥感反演,在分析机载高光谱仪获取的水体光谱反射率特征基础上,对NSOAS二类水体水质要素反演模型进行改进,得到了适用于机载高光谱数据的Chl-a和TSM浓度反演模型,并分析了高光谱仪增益对模型敏感性的影响。
1)利用改进后的模型,Chl-a和TSM的反演值与实测值的拟合决定系数最优分别可达0.65和0.80,平均相对误差分别为4.41%和3.55%。
2)通过高光谱仪增益为0的部分采样点拟合的模型参数,估算增益为2的采样点海水水色浓度,得到Chl-a和TSM反演的平均相对误差和均方根误差均高于增益为0的采样点,但误差在可接受范围内,模型具有较好的稳定性。
本文提出的金沙滩近岸水体Chl-a和TSM遥感反演模型建立在机载高光谱仪获取的图像数据基础上,图像的辐射定标、大气校正等预处理过程会对光谱产生巨大的影响,以船载光纤光谱仪数据为依据,讨论机载高光谱图像预处理对反演模型精度的影响将是下一步的工作。
参考文献
Remote sensing and water quality indicators in the Korean west coast:Spatio-temporal structures of MODIS-derived chlorophyll-a and total suspended solids
[J].
基于遥感反演的近20 a莱州湾表层悬浮泥沙和叶绿素a时空变化研究
[D].
Temporal and spatial variations of suspended sediment and chlorophyll-a in Laizhou Bay in recent 20 years based on remote sensing inversion
[D].
High-spatial resolution monitoring of phycocyanin and chlorophyll-a Using Airborne Hyperspectral imagery
[J].DOI:10.3390/rs10010001 URL [本文引用: 2]
Water quality assessment of a lentic water body using remote sensing:A case study
[C]//
MODIS时序影像的福建近岸叶绿素a浓度反演
[J].-1,平均绝对百分比误差(MAPE)分别为37.50%、50.20%,平均决定系数(R2)分别为0.87、0.21.可见,基于MODIS时序影像的RF模型可较准确估测福建近岸叶绿素a浓度,且精度优于BR模型.在近岸水环境普遍恶化且浮标观测站点有限的情况下,本研究可提供一种有效监测叶绿素a浓度的方法,有利于福建近岸水环境(如赤潮)的遥感监测.]]>
Retrieving nearshore chlorophyll-a concentration using MODIS time-series images in the Fujian Province
[J].R2 for RF model is as high as 0.87, while only 0.21 for BR model. The RMSE is reduced from 0.52 μg·L-1 for BR to 0.49 μg·L-1 for RF, and the MAPEs are 37.50% and 50.20% for RF and BR respectively, suggesting significant accuracy improvement by RF model. This study can provide a useful method for studying nearshore Chl-a concentration variability and monitoring water quality in the Fujian Province.]]>
基于HJ-1卫星数据的荣成湾叶绿素a浓度时空变化特征分析
[J].
Temperal and spatial analysis of chlorophyll a concentration patterns in Rongcheng Bay using HJ-1 satellite data
[J].
Remote sensing of water quality based on HJ-1A HSI imagery with modified discrete binary particle swarm optimization-partial least squares (MDBPSOPLS) in inland waters:A case in Weishan Lake
[J].DOI:10.1016/j.ecoinf.2018.01.004 URL [本文引用: 1]
湖泊叶绿素高光谱空谱联合遥感反演
[J].
Combined inversion of Hyper-spectral remote sensing of space and spectrum for lake chlorophyll
[J].
Spaceborne and airborne sensors in water quality assessment
[J].DOI:10.1080/01431161.2016.1190477 URL [本文引用: 1]
航空高光谱遥感反演城市河网水质参数
[J].
Inversion of water quality parameters of urban river network using airborne hyperspectral remote sensing
[J].
黄、东海二类水体水色要素的统计反演模式
[J].
Statistical inversion models for case Ⅱ water color elements in the Yellow Sea and East China Sea
[J].
Local algorithms using SeaWiFS data for the retrieval of phytoplankton,pigments,suspended sediment,and yellow substance in coastal waters
[J].
DOI:10.1364/AO.33.002369
URL
PMID:20885588
[本文引用: 1]
Algorithms that use the SeaWiFS radiometer band reflectance data for the retrieval of phytoplankton pigment concentration, suspended sediment concentration, and yellow substance absorption in coastal water are set up by a computation based on a three-component model of sea color. The varying coastal environment is characterized by a site-specific correlation among the three parameters, subjected to large spatial and temporal fluctuations. The computation is performed with respect to the summer situation of the Gulf of Naples (Mediterranean Sea). The sensitivity of the retrieval of each parameter to variations in the concentration of the two other quantities is investigated by numerical simulations. The sensitivity to the variability of the absorption and scattering properties of phytoplankton and suspended sediment is analyzed, as well as the error induced by the uncertainty of the remote-sensing data. The algorithms's performance is satisfactorily tested on sets of SeaWiFS band reflectances randomly generated within wide water composition ranges. Although the results obtained cannot be generalized and require experimental validation, the series of tests performed suggests that the proposed algorithms, with numerical constants adjusted to the local conditions, can be effectively applied to several types of coastal environment.
黄岛金沙滩现代波痕沉积特征与水动力关系
[J].
DOI:10.3981/j.issn.1000-7857.2014.002
URL
[本文引用: 1]
黄岛金沙滩为典型的无障壁高能海岸,后滨发育有风成波痕,前滨滩槽和近滨上部可见大量浪成波痕。本文通过对上述3种环境下波痕的形态、沉积物粒度特征及前滨波痕形成水动力条件进行分析研究发现:1)后滨风成波痕波长、波高、迎流面及背流面相对浪成波痕较小,但波痕指数较大,而前滨滩槽、近滨上部波痕由陆向海波长、迎流面、背流面变小。2)风成波痕沉积物粒度波峰较粗,而浪成波痕沉积物粒度波谷较粗,从前滨到后滨沉积物粗组分减少,细组分增多;风成波痕、前滨滩槽波痕粒度频率分布曲线呈“双峰”特征,而近滨上部波痕粒度频率分布曲线主体呈“单峰”特征,风成波痕、滩槽波痕沉积物缺少悬浮组分;波痕沉积物分选-峰度图、分选-偏度图可以较好地判别沉积环境。3)平均粒径与流速、水深、弗劳德数Fr有很好的线性关系,前滨退潮时形成波痕的水动力条件具有水体浅、流速小和水动力弱的特点,可能与退潮时水速、水深变化较快有关。4)对前滨波痕沉积特征与相应流速、水深分别进行逐步回归分析,获得了形成环境的流速、水深的回归关系式。
Characteristics of ripples both in morphology and sediments in Golden Beach Coastal Zone,Huangdao and the relationship with hydrodynamics
[J].
基于OLCI数据的洱海叶绿素a浓度估算
[J].
Estimation of chlorophyll-a concentration in Lake Erhai based on OLCI data
[J].DOI:10.18307/2018.0312 URL [本文引用: 1]
/
〈 |
|
〉 |
