Please wait a minute...
 
自然资源遥感  2025, Vol. 37 Issue (6): 169-181    DOI: 10.6046/zrzyyg.2024372
  技术应用 本期目录 | 过刊浏览 | 高级检索 |
基于最优参数地理探测器模型的黄土高原植被动态时空序列分异及驱动力探究
孙银锁(), 方霄, 周东茂, 薛洪文, 苏俊武
中国冶金地质总局第三地质勘查院,太原 030002
Exploring the spatiotemporal differentiation and driving factors of vegetation dynamics in the Loess Plateau using the optimal parameter-based geographical detector model
SUN Yinsuo(), FANG Xiao, ZHOU Dongmao, XUE Hongwen, SU Junwu
The Third Geological Exploration Institute of China metallurgical Geology Bureau, Taiyuan 030002, China
全文: PDF(7441 KB)   HTML  
输出: BibTeX | EndNote (RIS)      
摘要 

黄土高原是中国典型的气候敏感区和生态脆弱区。了解黄土高原不同气候干湿分区下植被动态变化时空特征及其潜在驱动因素,对推进区域生态环境保护与治理具有重要意义。该文基于2000—2022年黄土高原核归一化植被指数(kernel normalized difference vegetation index, kNDVI),利用变异系数和趋势分析方法研究了黄土高原不同气候干湿分区下被动态变化的时空格局,应用基于最优参数的地理探测器模型在空间尺度和分区效应下,准确、科学地定量识别了植被动态变化的驱动因子及驱动范围,并有效解决了空间异质性问题。研究结果表明: ①黄土高原kNDVI均值呈现西北低、东南高的空间分布格局,在植被动态变化上,黄土高原91.57%区域的植被变化呈现上升的趋势,其中气候半干旱区的上升趋势面积占比最高(60.41%); ②黄土高原区域内不同的驱动因子具有不同的最优离散方法和最优间隔断点,在最优分区效应下,低温高降雨量是植被生长的主要条件,且驱动因子的不同范围和类型对植被动态变化的空间分布具有不同的作用效应; ③最优参数地理探测器模型下,降雨量和土地利用类型是黄土高原最主要的驱动因子,其解释力达到了总解释力的65.45%,且两者的交互作用q值(0.69)均高于其他因子交互作用的q值。该研究有助于全面认识自然因素和人为因素影响下植被动态变化响应机制,为区域内生态可持续发展提供指导。

服务
把本文推荐给朋友
加入引用管理器
E-mail Alert
RSS
作者相关文章
孙银锁
方霄
周东茂
薛洪文
苏俊武
关键词 植被动态变化核归一化植被指数(kNDVI)气候干湿分区最优参数地理探测器模型黄土高原    
Abstract

The Loess Plateau is recognized as a typical climate-sensitive and ecologically vulnerable region in China. Understanding the spatiotemporal characteristics and potential driving factors of vegetation dynamics in different dry/wet climate zones within the Loess Plateau holds critical significance for the conservation and management of regional ecosystems. Based on the kernel normalized difference vegetation indices (kNDVIs) of the Loess Plateau from 2000 to 2022, this study investigated the spatiotemporal patterns of vegetation dynamics in different dry/wet climate zones within the Loess Plateau using the coefficient of variation and trend analysis. Employing the optimal parameter-based geographical detector model, this study accurately and scientifically identified the driving factors and ranges of vegetation dynamics under the spatial scale and zoning effect, effectively addressing the challenge of spatial heterogeneity. The results indicate that the average kNDVI of the Loess Plateau presented a spatial distribution pattern characterized by low values in the northwest and high values in the southeast. In terms of vegetation dynamics, 91.57% of the Loess Plateau showed an upward trend, with the semi-arid climate zone accounting for the highest proportion (60.41%). Different driving factors in the Loess Plateau corresponded to varying optimal dispersion methods and optimal interval breakpoints. Under the optimal zoning effect, low temperature and high rainfall were identified as the primary conditions for vegetation growth. The different ranges and types of driving factors exerted different effects on the spatial distribution of vegetation dynamics. The optimal parameter-based geographical detector model demonstrates that rainfall and land use type constituted the principal driving factors of the Loess Plateau, accounting for 65.45% of the total explanatory power. The q value (0.69) of the interaction between the two driving factors was higher than the q values of interactions between other factors. This study provides a comprehensive insight into the response mechanisms of vegetation dynamics under natural and human factors, thereby guiding the sustainable development of regional ecosystems.

Key wordsvegetation dynamics    kernel normalized vegetation index (kNDVI)    dry-wet climate zones    geographic detector model with optimal parameters    Loess Plateau
收稿日期: 2024-11-13      出版日期: 2025-12-31
ZTFLH:  Q948  
  TP79  
基金资助:国家自然科学基金项目“山西黄河流域矿区采动生态演变驱动机制与协同修复”(U22A20620)
作者简介: 孙银锁(1985-),男,高级工程师,主要从事大地测量、工程测量、地质勘察测绘、遥感应用技术研究。Email: 18235117775@163.com
引用本文:   
孙银锁, 方霄, 周东茂, 薛洪文, 苏俊武. 基于最优参数地理探测器模型的黄土高原植被动态时空序列分异及驱动力探究[J]. 自然资源遥感, 2025, 37(6): 169-181.
SUN Yinsuo, FANG Xiao, ZHOU Dongmao, XUE Hongwen, SU Junwu. Exploring the spatiotemporal differentiation and driving factors of vegetation dynamics in the Loess Plateau using the optimal parameter-based geographical detector model. Remote Sensing for Natural Resources, 2025, 37(6): 169-181.
链接本文:  
https://www.gtzyyg.com/CN/10.6046/zrzyyg.2024372      或      https://www.gtzyyg.com/CN/Y2025/V37/I6/169
Fig.1  黄土高原研究区概况
数据介绍 英文名称与缩写 数据来源
30 m分辨率GDEMV2数据集 Slope(SLO) 地理空间数据云平台(http://www.gscloud.cn/)
Slope Aspect(SA)
Digital Elevation Model(DEM)
1 km分辨率逐月地表太阳辐射均值
数据集
Solar Radiation(SR) 地理遥感生态网(www.gisrs.cn)
1 km分辨率月平均气温 Temperature(TEM) 国家青藏高原数据中心(https://data.tpdc.ac.cn/)
1 km分辨率年降水量 Precipitation(PRE)
1 km分辨率国内生产总值格网 Gross Domestic Product(GDP) 资源环境科学数据平台(https://www.resdc.cn/)
DMSP/OLS夜间灯光数据集 Nighttime Light(NTL)
30 m分辨率一级地类土地覆盖 Land Use(LU) 国家地球系统科学数据中心(https://www.geodata.cn/)
Tab.1  数据类型及来源
Fig.2  2000—2022年黄土高原植被动态空间格局及kNDVI波动强度空间分布
CVkNDVI 波动程度 面积百分比/%
CVkNDVI <0.18 弱波动性 25.98
0.18 ≤ CVkNDVI <0.34 较弱波动性 36.78
0.34 ≤ CVkNDVI <0.51 中等波动性 28.93
0.51 ≤ CVkNDVI <1.00 较强波动性 8.12
CVkNDVI ≥ 1.00 强波动性 0.19
Tab.2  黄土高原kNDVI的变异系数
Fig.3  2000—2022年黄土高原不同气候干湿区kNDVI变化折线图
Fig.4  2000—2022年黄土高原kNDVI年际变化率及显著性
Fig.5  2000—2022年黄土高原kNDVI年际变化趋势空间分布
Fig.6  2000—2022年黄土高原不同分区植被动态变化面积占比
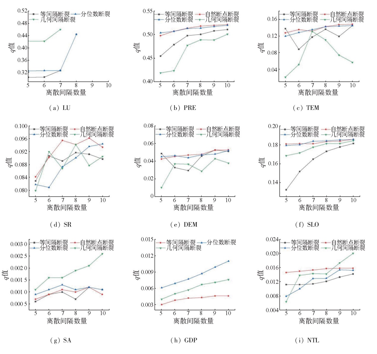
Fig.7  基于最优参数地理探测器模型解释变量的离散划分效应
Fig.8  黄土高原植被动态变化在驱动力范围内的空间分布
Fig.9  基于最优参数地理探测器模型植被变化影响的单因子检测
Fig.10  基于最优参数地理探测器模型植被变化影响的交互作用检测
Fig.11  基于最优参数地理探测器模型植被变化影响的作用类型
[1] 张瑞, 李琴, 勇心意, 等. 末次冰盛期以来东北地区古植被定量重建及其气候响应[J]. 第四纪研究, 2024, 44(3):805-822.
Zhang R, Li Q, Yong X Y, et al. Quantitative reconstruction of pa-leovegetation history in Northeast China and its response to climate change since the Last Glacial Maximum[J]. Quaternary Sciences, 2024, 44(3):805-822.
[2] Higgins S I, Conradi T, Muhoko E. Shifts in vegetation activity of terrestrial ecosystems attributable to climate trends[J]. Nature Geo-science, 2023, 16(2):147-153.
[3] 董文洁, 毛曦, 路文娟, 等. 黄河流域气候因子与NDVI相关性的长时序空间异质性研究[J]. 测绘科学, 2024, 49(2):134-142.
Dong W J, Mao X, Lu W J, et al. Long-term spatial heterogeneity of correlation between climatic factors and NDVI in the Yellow River Basin[J]. Science of Surveying and Mapping, 2024, 49(2):134-142.
[4] Liu H Y, Zhang M Y, Lin Z S, et al. Spatial heterogeneity of the relationship between vegetation dynamics and climate change and their driving forces at multiple time scales in Southwest China[J]. Agricultural and Forest Meteorology, 2018,256:10-21.
[5] 冶兆霞, 张洪波, 杨志芳, 等. 陕北黄土高原气象要素对植被覆盖的空间分异影响及风险探测[J]. 生态学报, 2024, 44(6):2379-2395.
Ye Z X, Zhang H B, Yang Z F, et al. Spatial differentiation effects and risk detection of meteorological elements to vegetation cover on the Loess Plateau of northern Shaanxi[J]. Acta Ecologica Sinica, 2024, 44(6):2379-2395.
[6] 协子昂, 张超, 冯绍元, 等. 植被物候遥感监测研究进展[J]. 遥感技术与应用, 2023, 38(1):1-14.
doi: 10.11873/j.issn.1004-0323.2023.1.0001
Xie Z A, Zhang C, Feng S Y, et al. Reviews of methods for vegetation phenology monitoring from remote sensing data[J]. Remote Sensing Technology and Application, 2023, 38(1):1-14.
[7] Li Y S, Ma J Y, Zhang Y J. Image retrieval from remote sensing big data:A survey[J]. Information Fusion, 2021,67:94-115.
[8] 陈树新, 刘炳杰, 王海熠, 等. 结合可见光植被指数和分水岭算法的单木树冠信息提取[J]. 遥感技术与应用, 2024, 39(1):34-44.
doi: 10.11873/j.issn.1004-0323.2024.1.0034
Chen S X, Liu B J, Wang H Y, et al. Extraction of individual tree crown based on UAV tilt photogrammetry[J]. Remote Sensing Technology and Application, 2024, 39(1):34-44.
[9] 宗慧琳, 张晓伦, 袁希平, 等. 利用GEE进行1990—2022年小江流域生态环境质量时空格局与演变趋势分析[J]. 环境科学, 2024, 45(7):4122-4136.
Zong H L, Zhang X L, Yuan X P, et al. Xiaojiang river basin ecological environmental quality spatiotemporal pattern and evolutio-nary trend analysis using GEE from 1990 to 2022[J]. Environmental Science, 2024, 45(7):4122-4136.
[10] 刘一, 郑南山, 丁锐, 等. 基于机器学习的多频多星GNSS-IR模式NDVI反演研究[J]. 中国矿业大学学报, 2023, 52(5):1014-1021.
Liu Y, Zheng N S, Ding R, et al. NDVI inversion of multi-frequency and multi-satellite GNSS-IR model based on machine learning[J]. Journal of China University of Mining and Technology, 2023, 52(5):1014-1021.
[11] Jin H Y, Chen X H, Wang Y M, et al. Spatio-temporal distribution of NDVI and its influencing factors in China[J]. Journal of Hydrology, 2021,603:127129.
[12] Carlson T N, Ripley D A. On the relation between NDVI,fractional vegetation cover,and leaf area index[J]. Remote Sensing of Environment, 1997, 62(3):241-252.
doi: 10.1016/S0034-4257(97)00104-1
[13] Aklilu T A, Gessesse A B. Evaluation of the saturation property of vegetation indices derived from sentinel-2 in mixed crop-forest ecosystem[J]. Spatial Information Research, 2021, 29(1):109-121.
doi: 10.1007/s41324-020-00339-5
[14] Camps-Valls G, Campos-Taberner M, Moreno-Martínez Á, et al. A unified vegetation index for quantifying the terrestrial biosphere[J]. Science Advances, 2021, 7(9):eabc7447.
[15] Wang X, Biederman J A, Knowles J F, et al. Satellite solar-induced chlorophyll fluorescence and near-infrared reflectance capture complementary aspects of dryland vegetation productivity dynamics[J]. Remote Sensing of Environment, 2022,270:112858.
[16] 刘明蕊, 刘世婷, 马春燕, 等. 草地植物和土壤对温度和降水变化的响应研究进展[J]. 生态学杂志, 2024, 43(12):3787-3796.
Liu M R, Liu S T, Ma C Y, et al. Research progress of the responses of grassland plants and soilto the variation of temperature and precipitation[J]. Chinese Journal of Ecology, 2024, 43(12):3787-3796.
[17] Yang S K, Liu J, Wang C H, et al. Vegetation dynamics influenced by climate change and human activities in the Hanjiang River Basin,Central China[J]. Ecological Indicators, 2022,145:109586.
[18] 胡蓉, 董灵波. 黑龙江流域植被覆盖度时空动态及其对气候变化的响应[J]. 应用生态学报, 2024, 35(6):1518-1524.
doi: 10.13287/j.1001-9332.202406.027
Hu R, Dong L B. Temporal and spatial variations of vegetation co-verage in Heilongjiang Basin and its responses to climate change[J]. Chinese Journal of Applied Ecology, 2024, 35(6):1518-1524.
[19] Li Q R, Gao X, Li J, et al. Nonlinear time effects of vegetation response to climate change:Evidence from Qilian Mountain National Park in China[J]. Science of the Total Environment, 2024,933:173149.
[20] 牛剑龙, 陈国坤, 黄义忠, 等. 近20 a云南文山州植被覆盖动态变化及其驱动因素[J]. 中国水土保持科学(中英文), 2022, 20(4):118-125.
Niu J L, Chen G K, Huang Y Z, et al. Dynamic change of vegetation cover and its driving factors in Wenshan of Yunnan over the past 20 years[J]. Science of Soil and Water Conservation, 2022, 20(4):118-125.
[21] 王劲峰, 徐成东. 地理探测器:原理与展望[J]. 地理学报, 2017, 72(1):116-134.
doi: 10.11821/dlxb201701010
Wang J F, Xu C D. Geodetector:Principle and prospective[J]. Acta Geographica Sinica, 2017, 72(1):116-134.
[22] Zhao X Y, Tan S C, Li Y P, et al. Quantitative analysis of fractional vegetation cover in southern Sichuan urban agglomeration using optimal parameter geographic detector model,China[J]. Ecological Indicators, 2024,158:111529.
[23] 汪宙峰, 郑博, 贺相綦, 等. 基于参数最优地理探测器的西藏冰湖时空变化与影响因素研究[J]. 冰川冻土, 2023, 45(6):1950-1960.
doi: 10.7522/j.issn.1000-0240.2023.0149
Wang Z F, Zheng B, He X Q, et al. Spatial-temporal variations and influencing factors of glacial lakes in Tibet based on Optimal Parameters-Based Geographical Detector[J]. Journal of Glaciology and Geocryology, 2023, 45(6):1950-1960.
[24] 郑景云, 尹云鹤, 李炳元. 中国气候区划新方案[J]. 地理学报, 2010, 65(1):3-12.
Zheng J Y, Yin Y H, Li B Y. A new scheme for climate regionalization in China[J]. Acta Geographica Sinica, 2010, 65(1):3-12.
doi: 10.11821/xb201001002
[25] Wang Q, Moreno-Martínez Á, Muñoz-Marínez J, et al. Estimation of vegetation traits with kernel NDVI[J]. ISPRS Journal of Photogrammetry and Remote Sensing, 2023,195:408-417.
[26] 黄对, 彭安帮, 刘九夫, 等. 淮河中上游植被变化及其对气象因素的多时空尺度响应[J]. 水土保持研究, 2023, 30(3):268-278.
Huang D, Peng A B, Liu J F, et al. Multi temporal and spatial scale responses of vegetation dynamics to climate factors[J]. Research of Soil and Water Conservation, 2023, 30(3):268-278.
[27] Jiang W G, Yuan L H, Wang W J, et al. Spatio-temporal analysis of vegetation variation in the Yellow River Basin[J]. Ecological Indicators, 2015,51:117-126.
[28] 袁丽华, 蒋卫国, 申文明, 等. 2000—2010年黄河流域植被覆盖的时空变化[J]. 生态学报, 2013, 33(24):7798-7806.
Yuan L H, Jiang W G, Shen W M, et al. The spatio-temporal variations of vegetation cover in the Yellow River Basin from 2000 to 2010[J]. Acta Ecologica Sinica, 2013, 33(24):7798-7806.
[29] 沈爱红, 佘洁, 石云, 等. 2001—2020年贺兰山东麓荒漠草原植被覆盖度演变[J]. 中国沙漠, 2024, 44(3):308-320.
doi: 10.7522/j.issn.1000-694X.2024.00035
Shen A H, She J, Shi Y, et al. Changes in vegetation coverage of desert grasslands in the eastern foothills of Helan Mountains in 2001-2020[J]. Journal of Desert Research, 2024, 44(3):308-320.
doi: 10.7522/j.issn.1000-694X.2024.00035
[30] Song Y Z, Wang J F, Ge Y, et al. An optimal parameters-based geo-graphical detector model enhances geographic characteristics of explanatory variables for spatial heterogeneity analysis:Cases with different types of spatial data[J]. GIScience and Remote Sensing, 2020, 57(5):593-610.
doi: 10.1080/15481603.2020.1760434
[31] Wang J F, Hu Y. Environmental health risk detection with GeogDetector[J]. Environmental Modelling and Software, 2012,33:114-115.
[32] Zhang W, Wang L C, Xiang F F, et al. Vegetation dynamics and the relations with climate change at multiple time scales in the Yangtze River and Yellow River Basin,China[J]. Ecological Indicators, 2020,110:105892.
[33] 马扶林, 刘小伟, 朵莹, 等. 日尺度下水热因子变化对青藏高原高寒草原生产力的影响特征[J]. 生态学报, 2023, 43(9):3719-3728.
Ma F L, Liu X W, Duo Y, et al. Effects of daily variation of hydro-thermal factors on alpine grassland productivity on the Qinghai-Tibet Plateau[J]. Acta Ecologica Sinica, 2023, 43(9):3719-3728.
[34] 韩磊, 曹鑫鑫, 朱会利, 等. 基于特征分区的陕北黄土高原植被覆盖变化及其驱动因素[J]. 生态学报, 2023, 43(20):8564-8577.
Han L, Cao X X, Zhu H L, et al. Change of vegetation coverage and driving factor in the North Shaanxi Loess Plateau based on characteristic zoning[J]. Acta Ecologica Sinica, 2023, 43(20):8564-8577.
[35] 贺军奇, 魏燕, 高万德, 等. 毛乌素沙地东南缘植被NDVI时空变化及其对气候因子的响应[J]. 干旱区地理, 2022, 45(5):1523-1533.
doi: 10.12118/j.issn.1000-6060.2021.017
He J Q, Wei Y, Gao W D, et al. Temporal and spatial variation of vegetation NDVI and its response to climatic factors in the sout-heastern margin of Mu Us Sandy Land[J]. Arid Land Geography, 2022, 45(5):1523-1533.
[36] 王雄, 张翀, 李强. 黄土高原植被覆盖与水热时空通径分析[J]. 生态学报, 2023, 43(2):719-730.
Wang X, Zhang C, Li Q. Path analysis between vegetation coverage and climate factors in the Loess Plateau[J]. Acta Ecologica Sinica, 2023, 43(2):719-730.
[37] Jiao W, Wang L, Smith W K, et al. Observed increasing water constraint on vegetation growth over the last three decades[J]. Nature Communications, 2021, 12(1):3777.
doi: 10.1038/s41467-021-24016-9 pmid: 34145253
[38] 李卓忆, 杨庆, 马柱国, 等. 中国北方干旱半干旱区植被对气候变化和人类活动的响应[J]. 大气科学, 2024, 48(3):859-874.
Li Z Y, Yang Q, Ma Z G, et al. Responses of vegetation to climate change and human activities in the arid and semiarid regions of northern China[J]. Chinese Journal of Atmospheric Sciences, 2024, 48(3):859-874.
[39] 姚楠, 董国涛, 薛华柱. 基于Google Earth Engine的黄土高原植被覆盖度时空变化特征分析[J]. 水土保持研究, 2024, 31(1):260-268.
Yao N, Dong G T, Xue H Z. Analysis on the characteristics of the spatiotemporal change in vegetation coverage on the Loess Plateau using the Google Earth Engine[J]. Research of Soil and Water Conservation, 2024, 31(1):260-268.
[40] 图纳热, 红梅, 叶贺, 等. 降水变化和氮沉降对荒漠草原土壤丛枝菌根真菌群落结构的影响[J]. 土壤, 2023, 55(6):1251-1260.
Tu N R, Hong M, Ye H, et al. Effects of precipitation change and nitrogen deposition on soil arbuscular mycorrhizal fungi(AMF) community structure in desert steppe[J]. Soils, 2023, 55(6):1251-1260.
[41] Ren H Y, Wen Z M, Liu Y Y, et al. Vegetation response to changes in climate across different climate zones in China[J]. Ecological Indicators, 2023,155:110932.
[1] 赵安周, 张向蕊, 相恺政, 刘宪锋, 张靓涵. 基于夜间灯光和统计数据的黄土高原城镇化水平时空格局分析[J]. 自然资源遥感, 2023, 35(3): 253-263.
[2] 张昊, 高小红, 史飞飞, 李润祥. 基于Sentinel-2 MSI与Sentinel-1 SAR相结合的黄土高原西部撂荒地提取——以青海民和县为例[J]. 自然资源遥感, 2022, 34(4): 144-154.
[3] 周日平. 黄土高原典型区土壤保持服务效应研究[J]. 国土资源遥感, 2019, 31(2): 131-139.
[4] 孙娜, 高志强, 王晓晶, 罗志东. 基于高分遥感影像的黄土高原地区水体高精度提取[J]. 国土资源遥感, 2017, 29(4): 173-178.
[5] 刘哲, 邱炳文, 王壮壮, 齐文. 2001-2014年间黄土高原植被覆盖状态时空演变分析[J]. 国土资源遥感, 2017, 29(1): 192-198.
[6] 石迎春, 叶浩, 郭娇, 董秋瑶. 几何纠正模式对QuickBird全色影像定位精度的影响——以黄土高原为例[J]. 国土资源遥感, 2011, 23(3): 135-139.
Viewed
Full text


Abstract

Cited

  Shared   
  Discussed   
京ICP备05055290号-2
版权所有 © 2015 《自然资源遥感》编辑部
地址:北京学院路31号中国国土资源航空物探遥感中心 邮编:100083
电话:010-62060291/62060292 E-mail:zrzyyg@163.com
本系统由北京玛格泰克科技发展有限公司设计开发