Please wait a minute...
 
自然资源遥感  2025, Vol. 37 Issue (6): 228-240    DOI: 10.6046/zrzyyg.2024375
  技术应用 本期目录 | 过刊浏览 | 高级检索 |
基于深度学习的东秦岭羟基蚀变信息遥感解译及可靠性检验
李春意1,2(), 赵鹏翔1,2,3, 丁来中3(), 王文杰3, 高彦涛3, 买志瑶3, 郭亚星1,2
1.河南理工大学测绘与国土信息工程学院,焦作 454003
2.自然资源部矿山时空信息与生态修复重点实验室,焦作 454003
3.河南省地质局矿产资源勘查中心,郑州 450012
Deep learning-based remote sensing interpretation and its reliability verification for hydroxyl alteration information in the East Qinling Mountains
LI Chunyi1,2(), ZHAO Pengxiang1,2,3, DING Laizhong3(), WANG Wenjie3, GAO Yantao3, MAI Zhiyao3, GUO Yaxing1,2
1. School of Surveying and Land Information Engineering, Henan Polytechnic University, Jiaozuo 454003, China
2. Key Laboratory of Mine Spatio-Temporal Information and Ecological Restoration, MNR, Jiaozuo 454003, China
3. Mineral Resources Exploration Center of Henan Geological Bureau, Zhengzhou 450012, China
全文: PDF(11387 KB)   HTML  
输出: BibTeX | EndNote (RIS)      
摘要 

东秦岭位于华北板块与扬子板块之间的秦岭造山带东段,是中国最大的Mo(钼)、Au(金)、W(钨)等多金属成矿带。蚀变在成矿过程中起到了关键作用,蚀变信息及分布特征是分析成矿机制的重要依据。为探索更高效的蚀变信息提取方法,该文以东秦岭河南省登封市为研究区,基于谷歌地球引擎(Google Earth Engine,GEE)平台,对Sentinel-2A和Landsat8 OLI数据进行了处理和分析,并将深度学习应用于蚀变信息提取中。为了提高蚀变信息的提取效率,首先用归一化植被指数(normalized difference vegetation index,NDVI)、改进归一化水体指数(modified normalized difference water index,MNDWI)和归一化建筑指数(normalized difference built-up index,NDBI)分别提取植被信息、水体信息和建筑物信息,采用阈值分割法生成二值图像对干扰信息进行掩模,并结合典型羟基矿物的光谱曲线,确定了提取羟基蚀变信息的波段; 然后,采用主成分分析法(principal component analysis,PCA)提取初始蚀变信息,并选择空间位置上重叠、信息集中且蚀变等级高的像素作为标签训练深度学习模型,通过融入多波段数据的卷积神经网络(convolutional neural networks,CNN)模型进一步挖掘遥感影像的潜在信息; 最后,结合目标区域线性构造图和矿化异常点,采集了对应位置的岩土样品,并进行X射线荧光光谱分析(X-ray fluorescence,XRF)和X射线衍射分析(X-ray diffraction,XRD),分析样品的主要成分,验证蚀变信息提取结果的可靠性。结果表明,与单独使用PCA方法相比,CNN模型提取的羟基蚀变信息更全面、清晰和易于分级。现场采样点样本均含有羟基蚀变矿物,如白云母、黑云母、绿泥石等,XRF和XRD实验室检测结果与CNN模型提取的羟基蚀变信息一致,验证了CNN深度学习模型提取羟基蚀变信息解译结果的可靠性和高效性。研究成果可为东秦岭地区的遥感找矿提供理论和技术依据。

服务
把本文推荐给朋友
加入引用管理器
E-mail Alert
RSS
作者相关文章
李春意
赵鹏翔
丁来中
王文杰
高彦涛
买志瑶
郭亚星
关键词 Sentinel-2A数据Landsat8数据羟基蚀变信息PCA深度学习    
Abstract

The East Qinling Mountains, located in the eastern Qinling orogen between the North China and Yangtze plates, boast the largest Mo-Au-W polymetallic metallogenic belt in China. Given that alteration played a key role in the mineralization process, its information extraction and distribution characteristics can provide critical insights for analyzing the mineralization mechanisms. To explore a more efficient method for extracting alteration information, this study investigated Dengfeng City in the East Qinling Mountains using data from the Sentinel-2A and Landsat-8 sensors. Data processing and analysis were conducted based on the Google Earth Engine (GEE) platform, and deep learning was applied to the extraction of alteration information. To improve the extraction efficiency, the information about vegetation, water bodies, and buildings was extracted first using the normalized difference vegetation index (NDVI), modified normalized difference water index (MNDWI), and normalized difference built-up index (NDBI), respectively. Subsequently, the interference information was masked by generating binary images using the threshold segmentation method. In combination with the spectral curves of typical hydroxyl minerals, the bands used to extract hydroxyl alteration information were determined. Then, the initial alteration information was extracted using the principal component analysis (PCA) method, and the pixels that overlapped spatially and exhibited concentrated information and high alteration levels were selected as labels to train the deep learning model. The potential information of remote sensing images was further extracted using the convolutional neural network (CNN) model that integrated multi-band data. Finally, in combination with the linear structure maps and mineralization anomalies of the target area, rock and soil samples were collected from the corresponding locations, and their main components were determined using X-ray fluorescence spectroscopy (XRF) and X-ray diffraction (XRD) analysis. In this manner, the reliability of the alteration information extracted was verified. The results indicate that compared to the PCA method alone, the CNN model can extract more comprehensive and clearer hydroxyl alteration information that was more easily graded. The samples collected at the field sampling points all contained minerals with hydroxyl alteration, such as muscovite, biotite, and chlorite. The laboratory XRF and XRD analysis results were consistent with the hydroxyl alteration information extracted using the CNN model. This verifies the reliability and efficiency of the interpretations of hydroxyl alteration information extracted using the deep learning-based CNN model. The results of this study can provide a theoretical and technical basis for remote sensing prospecting in the East Qinling Mountains.

Key wordsSentinel-2A data    Landsat8 data    hydroxyl alteration information    principal component analysis (PCA)    deep learning
收稿日期: 2024-11-19      出版日期: 2025-12-31
ZTFLH:  TP79  
基金资助:河南省自然资源厅科研项目“东秦岭成矿带蚀变信息遥感识别与找矿关键技术研究项目(2023-6);测绘科学与技术“双一流”学科创建项目“矿区开采沉陷多平台智能监测与生态修复关键技术研究”(BZCG202301);自然资源部矿山时空信息与生态修复重点实验室开放基金重点项目“采煤沉陷区地表残余形变预测模型研究”(KLM202303);自然资源部矿山时空信息与生态修复重点实验室开放基金项目“特高压输电线路穿越采空区灾变风险评估研究”(KLM202306)
通讯作者: 丁来中(1986-),男,博士,研究方向为深度学习、矿产资源勘查。E-mail: 397324046@qq.com
作者简介: 李春意(1979-),男,博士/教授,研究方向为地质环境监测与灾害防控。Email: Lichunyi@hpu.edu.cn
引用本文:   
李春意, 赵鹏翔, 丁来中, 王文杰, 高彦涛, 买志瑶, 郭亚星. 基于深度学习的东秦岭羟基蚀变信息遥感解译及可靠性检验[J]. 自然资源遥感, 2025, 37(6): 228-240.
LI Chunyi, ZHAO Pengxiang, DING Laizhong, WANG Wenjie, GAO Yantao, MAI Zhiyao, GUO Yaxing. Deep learning-based remote sensing interpretation and its reliability verification for hydroxyl alteration information in the East Qinling Mountains. Remote Sensing for Natural Resources, 2025, 37(6): 228-240.
链接本文:  
https://www.gtzyyg.com/CN/10.6046/zrzyyg.2024375      或      https://www.gtzyyg.com/CN/Y2025/V37/I6/228
Fig.1  研究区域位置
Fig.2  研究区域地质简图
1-第四系; 2-古近系; 3-上古生界及三叠系; 4-下古生界; 5-五佛山群; 6-嵩山群; 7-登封岩群; 8-元古宇花岗岩; 9-元古宇基性岩; 10-背斜; 11-向斜; 12-正断层; 13-逆断层; 14-平推断层; 15-飞来峰; 16-平行不整合及角度不整合
①助泉寺断裂; ②五指岭断裂; ③上寺沟断裂; ④龙头—寨脖断裂; ⑤尧坡山断裂; ⑥唐窑—中岳庙断裂; ⑦登封大断裂; ⑧安庙断裂
(1)府店—涉村向斜; (2)登封大背斜; (3)颍阳—石道向斜; (4)景店背斜; (5)芦店向斜; (6)凤凰岭背斜
Fig.3  研究区域工程地质图
波段
分布
Sentinel-2A Landsat8 OLI
波段 中心波
长/μm
分辨
率/m
波段 中心波
长/μm
分辨
率/m
可见光 B1 0.433 60 B1 0.443 30
B2 0.490 10 B2 0.483 30
B3 0.560 10 B3 0.561 30
B4 0.665 10 B4 0.655 30
B5 0.705 20 B8 0.592 15
B6 0.740 20
近红外 B7 0.783 20 B5 0.865 30
B8 0.842 10
B8A 0.865 20
B9 0.945 60
短波红外 B10 1.375 60 B9 1.373 30
B11 1.610 20 B6 1.609 30
B12 2.190 20 B7 2.201 30
Tab.1  Sentinel-2A与Landsat8 OLI数据波段特征对比
Fig.4  掩模图像
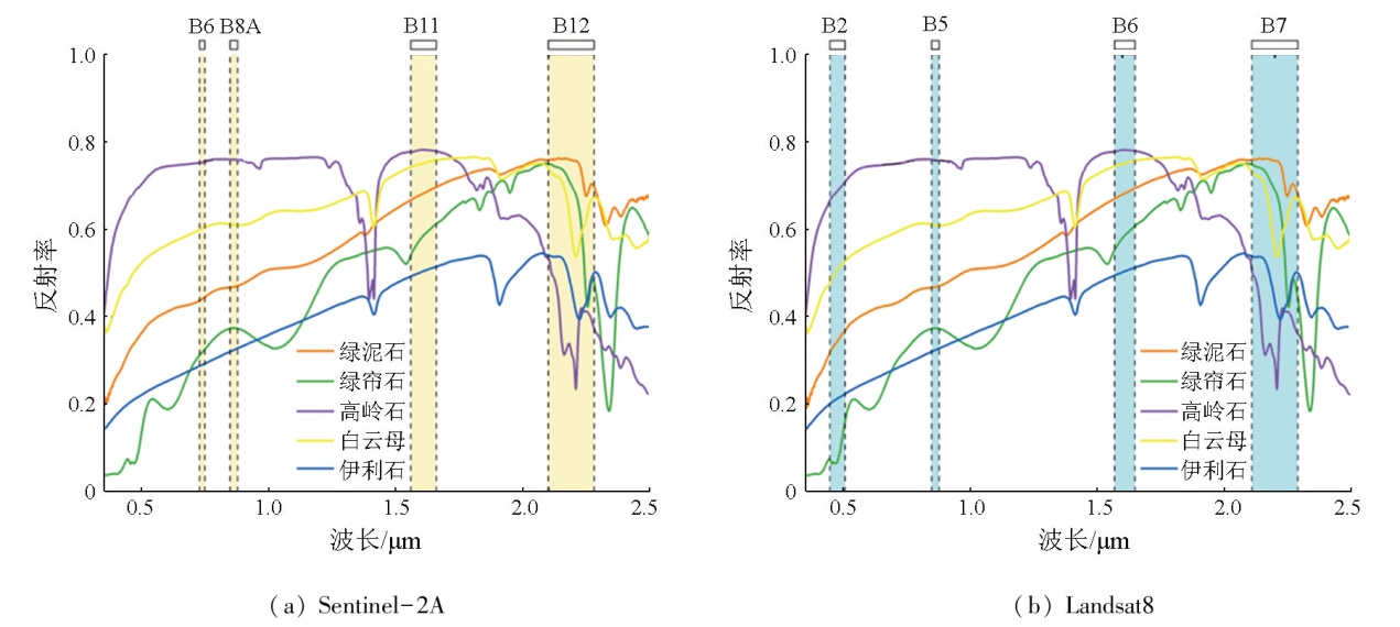
Fig.5  数据波段与典型羟基矿物光谱图
Fig.6  卷积神经网络算法架构
数据 波段 特征向量
PC1 PC2 PC3 PC4
Sentinel-2A B6 -0.493 315 0.504 024 -0.350 873 0.616 026
B8A -0.569 618 0.428 483 0.326 705 -0.620 646
B11 -0.506 105 -0.560 972 0.544 714 0.363 944
B12 -0.419 564 -0.497 668 -0.688 069 -0.320 709
Landsat8 B2 -0.157 516 0.017 635 -0.791 345 -0.590 466
B5 -0.521 527 0.845 590 0.044 310 0.104 996
B6 -0.645 970 -0.364 374 0.474 349 -0.474 286
B7 -0.534 716 -0.389 741 -0.383 147 0.644 499
Tab.2  主成分分析特征向量表
Fig.7  Sentinel-2A和Landsat8的PCA羟基异常分布图
Fig.8  CNN羟基异常分布对比
Fig.9  登封市褶皱和断裂构造
褶皱名称: (1)大搭寺复背斜; (2)三官庙复向斜; (3)老虎头寨复背斜; (4)嵩山背斜; (5)颖阳—大金店复向斜; (6)芦店向斜; (7)箕山背斜; (8)东刘碑背斜
断裂名称: ①嵩山北坡正断层; ②王峪正断层; ③太后庙正断层; ④送表—郭沟正断层; ⑤南窑正断层; ⑥葫芦套正断层; ⑦过风口正断层; ⑧嵩山断层; ⑨五指岭断层; ⑩魏窑—尧坡山正断层; ?申家门逆断层; ?火神庙正断层; ?峙岈砦沟正断层; ?少林寺—当阳山正断层; ?安坡山逆断层; ?范庄平推断层
Fig.10  蚀变信息现场样品采集
检测元素 样品序号
P1 P2 P3 P4 P5 P6
SiO2 55.134 2 72.183 7 56.561 6 54.313 0 44.202 5 41.066 4
Al2O3 9.756 7 4.200 8 11.661 9 11.556 1 13.227 1 12.059 2
Na2O 0.452 2 1.780 4 3.316 6 2.089 6 2.143 5 2.106 8
K2O 0.524 4 1.864 3 4.687 1 5.531 4 1.749 3 0.567 6
MgO 5.146 6 0.093 2 0.135 9 1.453 9 1.834 1 4.739 5
Fe2O3 2.486 4 0.364 2 1.438 5 2.128 0 3.727 1 9.440 0
CaO 8.456 2 0.564 3 0.102 1 0.196 2 1.126 9 7.178 3
C 17.414 5 19.125 6 21.720 7 22.323 3 31.341 5 21.828 9
Tab.3  样品主要元素百分比含量
Fig.11  基于XRF的样品主要元素含量测试结果
Fig.12  XRD图谱与矿物相对含量测试结果
[1] 赵芝玲, 王萍, 荆林海, 等. 用ASTER数据提取植被覆盖区遥感铁矿化蚀变信息[J]. 金属矿山, 2016(10):109-115.
Zhao Z L, Wang P, Jing L H, et al. Extraction method of iron mi-neralized alteration information in vegetation covered areas based on remote sensing ASTER data[J]. Metal Mine, 2016(10):109-115.
[2] Tang S L, Cao J N. Deposit location identification based on feature decomposition of high-resolution remote sensing images[J]. IEEE Access, 2020,9:15239-15251.
[3] 崔世超, 周可法, 丁汝福. 高光谱的矿区植物异常信息提取[J]. 光谱学与光谱分析, 2019, 39(1):241-249.
Cui S C, Zhou K F, Ding R F. Extraction of plant abnormal information in mining area based on hyperspectral[J]. Spectroscopy and Spectral Analysis, 2019, 39(1):241-249.
[4] 褚志远, 温殿刚, 吕青, 等. 山东蒙阴地区金刚石遥感找矿模型的构建与应用[J]. 地球科学与环境学报, 2024, 46(2):240-251.
Chu Z Y, Wen D G, Lyu Q, et al. Construction and application of remote sensing ore-prospecting model for diamonds in Mengyin area of Shandong,China[J]. Journal of Earth Sciences and Environment, 2024, 46(2):240-251.
[5] 张云峰, 李领军, 冯淳. ASTER数据在北方铝土矿预普查中的应用——以豫西渑池地区为例[J]. 国土资源遥感, 2012, 24(1):48-52.doi:10.6046/gtzyyg.2012.01.09.
Zhang Y F, Li L J, Feng C. The application of ASTER data to bauxite deposit pre-survey in northern China:A case study of Mia-nchi area,western Henan[J]. Remote Sensing for Land and Resources, 2012, 24(1):48-52.doi:10.6046/gtzyyg.2012.01.09.
[6] Zhang G, Zhao Z F, Zhang X L, et al. Comprehensive Multi-Source remote sensing data integration for enhanced mineralization alteration extraction and geological structure interpretation in the Lala region of Sichuan Province[J]. Ore Geology Reviews, 2024,168:106032.
[7] Wang Z Y, Zuo R G, Dong Y N. Mapping of Himalaya leucogra-nites based on ASTER and sentinel-2A datasets using a hybrid method of metric learning and random forest[J]. IEEE Journal of Selected Topics in Applied Earth Observations and Remote Sen-sing, 2020,13:1925-1936.
[8] 赵振华, 严爽. 花岗伟晶岩成矿有关的几个问题讨论[J]. 大地构造与成矿学, 2023, 47(1):1-41.
Zhao Z H, Yan S. Some issues relevant to rare metal metallogeny of granitic pegmatites[J]. Geotectonica et Metallogenia, 2023, 47(1):1-41.
[9] Shirmard H, Farahbakhsh E, Müller R D, et al. A review of machine learning in processing remote sensing data for mineral exploration[J]. Remote Sensing of Environment, 2022,268:112750.
[10] Chen Q, Xia J S, Zhao Z F, et al. Interpretation of hydrothermal alteration and structural framework of the Huize Pb-Zn deposit,SW China,using Sentinel-2,ASTER,and Gaofen-5 satellite data:Implications for Pb-Zn exploration[J]. Ore Geology Reviews, 2022,150:105154.
[11] 连琛芹, 姚佛军, 杨建民, 等. 半裸露区遥感蚀变信息提取研究——以甘肃玛曲地区为例[J]. 现代地质, 2019, 33(5):1079-1085.
Lian C Q, Yao F J, Yang J M, et al. The extraction of alteration information with remote sensing image of semi-exposed area:A case study of the Maqu area in Gansu[J]. Geoscience, 2019, 33(5):1079-1085.
[12] Crosta A P, Moore J.M. Enhancement of Landsat thematic mapper imagery for residual soil mapping in SW minas gerais state,Brazil:A prospecting case history in greenstone belt terrain[J]. the Se-venth Thematic Conference on Remote sensing for Exploration Geo-logy,Calgary,Alberta,Canada, 1989,1173-1187.
[13] Adiri Z, Lhissou R, El Harti A, et al. Recent advances in the use of public domain satellite imagery for mineral exploration:A review of Landsat-8 and Sentinel-2 applications[J]. Ore Geology Reviews, 2020,117:103332.
[14] Vural A, Akpinar ⅰ, Sipahi F. Mineralogical and chemical characteristics of clay areas,gümüşhane region (NE Turkey),and their detection using the Crósta technique with Landsat7 and 8 images[J]. Natural Resources Research, 2021, 30(6):3955-3985.
doi: 10.1007/s11053-021-09912-7
[15] Pak U S, Pak C U. Detection of hydrothermal alteration zones using Landsat 8 OLI image:A case study of gold prospecting in Nyongwon area,DPR Korea[J]. Journal of the Indian Society of Remote Sensing, 2021, 49(9):2249-2259.
doi: 10.1007/s12524-021-01385-8
[16] 赵慧童, 王萍. 中高分辨率遥感数据铁染信息提取及找矿预测[J]. 遥感信息, 2017, 32(6):96-102.
Zhao H T, Wang P. Extraction of iron stained information and ore-prospecting prediction of medium-high resolution remote sensing data[J]. Remote Sensing Information, 2017, 32(6):96-102.
[17] Chen L, Sui X X, Liu R Y, et al. Mapping alteration minerals using ZY-1 02D hyperspectral remote sensing data in coalbed methane enrichment areas[J]. Remote Sensing, 2023, 15(14):3590.
doi: 10.3390/rs15143590
[18] 连琛芹, 姚佛军, 封志明, 等. 多源数据在甘肃山羊坝地区找矿勘查中的应用[J]. 现代地质, 2022, 36(6):1605-1612.
Lian C Q, Yao F J, Feng Z M, et al. Mineral resources prospecting by synthetic application of multi-source data in the shanyangba area,Gansu,China[J]. Geoscience, 2022, 36(6):1605-1612.
[19] 肖壮, 罗彬, 刘友明. 基于深度学习的矿区韧性剪切带找矿研究[J]. 世界有色金属, 2019(21):46-47.
Xiao Z, Luo B, Liu Y M. Research on prospecting of ductile shear zone in mining area based on deep learning[J]. World Nonferrous Metals, 2019(21):46-47.
[20] Agrawal N, Govil H. A deep residual convolutional neural network for mineral classification[J]. Advances in Space Research, 2023, 71(8):3186-3202.
doi: 10.1016/j.asr.2022.12.028
[21] Wang Z Y, Zuo R G. An evaluation of convolutional neural networks for lithological mapping based on hyperspectral images[J]. IEEE Journal of Selected Topics in Applied Earth Observations and Remote Sensing, 2024,17:6414-6425.
[22] 贾黎黎, 朱世博, 王建荣, 等. 基于语义分割深度学习的找矿靶区预测研究——以广东省阳江-茂名地区为例[J]. 地质与勘探, 2023, 59(5):1093-1102.
Jia L L, Zhu S B, Wang J R, et al. Prediction of prospecting targets based on semantic segmentation with deep learning:A case study of the Yangjiang-Maoming area in Guangdong Province[J]. Geology and Exploration, 2023, 59(5):1093-1102.
[23] 李新萍, 杜文涛, 蔡铁刚, 等. 洛宁盆地多源遥感地热信息提取方法研究[J]. 地质与勘探, 2024, 60(3):552-562.
Li X P, Du W T, Cai T G, et al. Extraction of geothermal information from multi-source remote sensing data in the Luoning Basin[J]. Geology and Exploration, 2024, 60(3):552-562.
[24] 韩燿徽, 王翠芝, 吴志杰, 等. 内蒙古赤峰柴胡栏子金矿田遥感地质解译和蚀变信息提取与找矿预测[J]. 现代地质, 2024, 38(4):1076-1091.
Han Y H, Wang C Z, Wu Z J, et al. Remote sensing geological interpretation,alteration information extraction,and mineral prospecting prediction in the Chaihulanzi Gold Field,Chifeng,Inner Mongolia[J]. Geoscience, 2024, 38(4):1076-1091.
[25] 易敏, 叶发旺, 张川, 等. 基于深度学习的蚀变矿物识别——以新疆白杨河铀矿床为例[J]. 铀矿地质, 2021, 37(4):673-682.
Yi M, Ye F W, Zhang C, et al. Identification of alteration minerals based on deep learning:A case study of Baiyanghe Uranium Depo-sit,Xinjiang[J]. Uranium Geology, 2021, 37(4):673-682.
[1] 李凯旋, 刘俊伟, 王智博, 蒋文泷, 蔡汉林, 雷少刚, 杨永均. 基于Sentinel-2影像和BenchSegNet模型的露天煤矿台阶提取[J]. 自然资源遥感, 2025, 37(6): 148-155.
[2] 李英龙, 邓毓弸, 孔赟珑, 陈静波, 孟瑜, 刘帝佑. 基于全色-多光谱双流卷积网络的端到端地物分类方法[J]. 自然资源遥感, 2025, 37(5): 152-161.
[3] 吴志军, 丛铭, 许妙忠, 韩玲, 崔建军, 赵超英, 席江波, 杨成生, 丁明涛, 任超锋, 顾俊凯, 彭晓东, 陶翊婷. 基于视觉双驱动认知的高分辨率遥感影像自学习分割方法[J]. 自然资源遥感, 2025, 37(5): 73-90.
[4] 方留杨, 杨昌浩, 舒东, 杨学昆, 陈兴通, 贾志文. 基于双重特征融合的复杂环境下滑坡检测方法[J]. 自然资源遥感, 2025, 37(5): 91-100.
[5] 邹海靖, 邹滨, 王玉龙, 张波, 邹伦文. 基于多尺度样本集优化策略的矿区工业固废及露天采场遥感识别[J]. 自然资源遥感, 2025, 37(3): 1-8.
[6] 郭伟, 李煜, 金海波. 高维上下文注意和双感受野增强的SAR船舶检测[J]. 自然资源遥感, 2025, 37(3): 104-112.
[7] 陈民, 彭栓, 王涛, 吴雪芳, 刘润璞, 陈玉烁, 方艳茹, 阳平坚. 基于资源1号02D高光谱图像湿地水体分类方法对比——以白洋淀为例[J]. 自然资源遥感, 2025, 37(3): 133-141.
[8] 陈兰兰, 范永超, 肖海平, 万俊辉, 陈磊. 结合时序InSAR与IRIME-LSTM模型的大范围矿区地表沉降预测[J]. 自然资源遥感, 2025, 37(3): 245-252.
[9] 郑宗生, 高萌, 周文睆, 王政翰, 霍志俊, 张月维. 基于样本迭代优化策略的密集连接多尺度土地覆盖语义分割[J]. 自然资源遥感, 2025, 37(2): 11-18.
[10] 庞敏. 国产多源卫片图斑智能提取平台研究与应用[J]. 自然资源遥感, 2025, 37(2): 148-154.
[11] 黄川, 李雅琴, 祁越然, 魏晓燕, 邵远征. 基于3D-CAE的高光谱解混及小样本分类方法[J]. 自然资源遥感, 2025, 37(1): 8-14.
[12] 苏悦, 刘洪, 杨武年, 欧阳渊, 张景华, 张腾蛟, 黄勇. 高原山地区域生态脆弱性研究——以四川省康定市为例[J]. 自然资源遥感, 2024, 36(3): 206-215.
[13] 张瑞瑞, 夏浪, 陈立平, 丁晨琛, 郑爱春, 胡新苗, 伊铜川, 陈梅香, 陈天恩. 深度语义分割网络无人机遥感松材线虫病变色木识别[J]. 自然资源遥感, 2024, 36(3): 216-224.
[14] 温泉, 李璐, 熊立, 杜磊, 刘庆杰, 温奇. 基于深度学习的遥感图像水体提取综述[J]. 自然资源遥感, 2024, 36(3): 57-71.
[15] 白石, 唐攀攀, 苗朝, 金彩凤, 赵博, 万昊明. 基于高分辨率遥感影像和改进U-Net模型的滑坡提取——以汶川地区为例[J]. 自然资源遥感, 2024, 36(3): 96-107.
Viewed
Full text


Abstract

Cited

  Shared   
  Discussed   
京ICP备05055290号-2
版权所有 © 2015 《自然资源遥感》编辑部
地址:北京学院路31号中国国土资源航空物探遥感中心 邮编:100083
电话:010-62060291/62060292 E-mail:zrzyyg@163.com
本系统由北京玛格泰克科技发展有限公司设计开发