Please wait a minute...
 
自然资源遥感  2025, Vol. 37 Issue (6): 41-48    DOI: 10.6046/zrzyyg.2022503
  地球数据共享和知识服务 本期目录 | 过刊浏览 | 高级检索 |
中国区域的国际重要湿地制图产品间一致性分析
廖远鸿1(), 白玉琪1,2()
1.清华大学地球系统科学系,东亚迁徙鸟类与栖息地生态学教育部野外科学观测研究站,清华大学全球变化研究院,北京 100084
2.清华大学中国城市研究院,北京 100084
Consistency analysis of mapping products for wetlands of international importance in China
LIAO Yuanhong1(), BAI Yuqi1,2()
1. Department of Earth System Science, Ministry of Education Ecological Field Station for East Asian Migratory Birds and Their Habitatses, Institute for Global Change Studies, Tsinghua University, Beijing 100084, China
2. Tsinghua Urban Institute, Tsinghua University, Beijing 100084, China
全文: PDF(3025 KB)   HTML  
输出: BibTeX | EndNote (RIS)      
摘要 

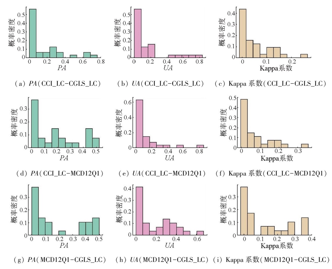
基于地表覆盖制图监测湿地变化是监督Ramsar公约缔约方履行公约的重要手段,但是当前制图产品数量众多,在时空特性、分类体系和质量上存在较大差异。该文旨在针对2015—2019年中国40处国际重要湿地开展制图产品间的一致性分析,为选择湿地制图、开展Ramsar保护区湿地监测提供参考。基于长时序地表覆盖制图产品CCI_LC,CGLS_LC和MCD12Q1,进行空间一致性和类别一致性的预处理,并基于湿地分类面积开展回归分析和制图产品的准确度及不确定度指标计算。结果表明产品之间湿地分类面积存在较大不一致性,面积大小差距平均在6~10倍,湿地分类结果准确度低且不确定度大,大部分区域使用者精度(user accuracy,UA)、生产者精度(producer accuracy,PA)和Kappa系数小于0.1,标准差大于均值。总体而言,3套地表覆盖产品尚未能支撑可信的国际重要湿地变化的监测工作。

服务
把本文推荐给朋友
加入引用管理器
E-mail Alert
RSS
作者相关文章
廖远鸿
白玉琪
关键词 Ramsar公约湿地遥感地表覆盖产品一致性检验    
Abstract

Monitoring wetland changes based on land cover mapping serves as a significant means for supervising contracting parties to the Convention on Wetlands of International Importance Especially as Waterfowl Habitat (also referred to as the Ramsar Convention) in fulfilling their obligations. However, substantial land cover mapping products available show significant differences in spatiotemporal characteristics, classification systems, and quality. This study conducted a consistency analysis of land cover mapping products for 40 wetlands of international importance in China from 2015 to 2019, aiming to provide a reference for selecting wetland mapping products and monitoring wetlands in Ramsar reserves. Using long time-series land cover mapping products CCI_LC, CGLS_LC, and MCD12Q1, this study preprocessed the data in terms of spatial and category consistency. Based on wetland classification areas, it conducted regression analysis and calculated the accuracy and uncertainty indicators of the mapping products. The results indicate that these products exhibited significant inconsistencies in wetland classification areas, with area differences averaging 6 to 10 times. Moreover, their wetland classification results were marked by low accuracy and high uncertainty. For most regions, the user accuracy (UA), producer accuracy (PA), and Kappa coefficient were below 0.1, and the standard deviation exceeded the mean. Overall, the three land cover mapping products fail to support credible monitoring of changes in wetlands of international importance.

Key wordsRamsar Convention    wetland remote sensing    consistency check of land cover products
收稿日期: 2022-09-15      出版日期: 2025-12-31
ZTFLH:  TP79  
基金资助:国家重点研发计划项目“面向开放科学的国际地球观测系统互操作体系研究与示范”(2019YFE0126400)
通讯作者: 白玉琪(1976-),男,博士,教授,主要从事地球空间数据基础设施及其应用研究。Email: yuqibai@tsinghua.edu.cn
作者简介: 廖远鸿(1999-),男,博士研究生,研究方向为地表覆盖制图、湿地遥感、火迹地监测。Email: liaoyh21@mails.tsinghua.edu.cn
引用本文:   
廖远鸿, 白玉琪. 中国区域的国际重要湿地制图产品间一致性分析[J]. 自然资源遥感, 2025, 37(6): 41-48.
LIAO Yuanhong, BAI Yuqi. Consistency analysis of mapping products for wetlands of international importance in China. Remote Sensing for Natural Resources, 2025, 37(6): 41-48.
链接本文:  
https://www.gtzyyg.com/CN/10.6046/zrzyyg.2022503      或      https://www.gtzyyg.com/CN/Y2025/V37/I6/41
数据集 湿地/水体
分类体系
数据源 时间范围 空间分辨率/m 准确度评估
MCD12Q1[19] LC_Type1(11:永久湿地);
LC_Type3(3:水体; 27:木本湿地; 50:草本湿地)
MODIS 2001—2020年 500 LC_Type1 11 (UA: 96.4%; PA: 70.6%)
CCI_LC[20] 160:被淡水或微咸水淹没的树;
170:被咸水淹没的树;
180:被咸水、微咸水、淡水淹没的灌木或草本植被;
210:水体
MERIS,
SPOT,
PROBA
1992—2020年 300 160 (UA: 26%; PA: 86%)
170 (UA: 75%; PA: 86%)
180 (UA: 53%; PA: 24%)
CGLS_LC[21] 80:永久水体;
90:草本植被
PROBA-V 2015—2019年 100 90 (UA: 44.9%; PA:
46.9%)
Tab.1  3种地表覆盖制图产品的特性
Fig.1  预处理后的时空属性、分类体系的制图数据示意图
Fig.2  产品间的湿地分类面积的回归曲线拟合结果
Fig.3  剔除未分类出湿地的区域后产品间的湿地分类面积的回归分析结果
产品 RMSE r R2
CCI_LC-CGLS_LC 1.109 7 0.476 5 -0.457 6
CCI_LC-MCD12Q1 0.872 4 0.571 2 0.214 3
MCD12Q1-CGLS_LC 0.821 1 0.679 8 0.097 6
Tab.2  剔除未分类出湿地的区域后产品间回归分析的评估结果
Fig.4  产品间的湿地分类准确度指标分布直方图
产品 未分类出湿
地的样本数
未分类出湿地
的样本的占比/%
UA PA Kappa系数
均值 标准差 均值 标准差 均值 标准差
CCI_LC-CGLS_LC 8 20.0 0.158 6 0.230 3 0.156 1 0.217 1 0.051 9 0.665 0
CCI_LC-MCD12Q1 13 32.5 0.130 6 0.202 5 0.192 5 0.130 6 0.074 1 0.091 1
MCD12Q1-CGLS_LC 11 27.5 0.190 1 0.186 7 0.182 9 0.195 9 0.121 5 0.138 0
Tab.3  产品间准确度与不确定度指标结果
[1] Ramsar Convention Secretariat. The Ramsar Convention Manual:A guide to the Convention on Wetlands (Ramsar,Iran,1971),6th ed[R]. Gland, Switzerland: Ramsar Convention Secretariat, 2013.
[2] Ramsar Convention Secretariat. The Fourth Ramsar Strategic Plan 2016—2024[R]// Ramsar Handbooks for the Wise Use of Wetlands,5th Edition,Vol.2.Gland, Switzerland: Ramsar Convention Secretariat, 2016.
[3] Ramsar Convention Secretariat. Global Wetland Outlook:Special Edition 2021[R]. Gland, Switzerland: Ramsar Convention Secretariat, 2021.
[4] Mao D H, Luo L, Wang Z M, et al. Conversions between natural wetlands and farmland in China:A multiscale geospatial analysis[J]. Science of The Total Environment, 2018,634:550-560.
[5] Hu S J, Niu Z G, Chen Y F, et al. Global wetlands:Potential distribution,wetland loss,and status[J]. Science of The Total Environment, 2017,586:319-327.
[6] Mao D H, Wang Z M, Wu J G, et al. China’s wetlands loss to urban expansion[J]. Land Degradation & Development, 2018, 29(8):2644-2657.
doi: 10.1002/ldr.v29.8
[7] Rojas C, Munizaga J, Rojas O, et al. Urban development versus wetland loss in a coastal Latin American city:Lessons for sustainable land use planning[J]. Land Use Policy, 2019,80:47-56.
[8] Mao D H, Yang H, Wang Z M, et al. Reverse the hidden loss of China’s wetlands[J]. Science, 2022, 376(6597):1061.
[9] Mao D H, Tian Y L, Wang Z M, et al. Wetland changes in the Amur River Basin:Differing trends and proximate causes on the Chinese and Russian sides[J]. Journal of Environmental Management, 2021,280:111670.
[10] Xi Y, Peng S S, Ciais P, et al. Future impacts of climate change on inland Ramsar wetlands[J]. Nature Climate Change, 2021, 11(1):45-51.
doi: 10.1038/s41558-020-00942-2
[11] Davidson N C. How much wetland has the world lost? Long-term and recent trends in global wetland area[J]. Marine and Freshwater Research, 2014, 65(10):934-941.
doi: 10.1071/MF14173
[12] Cyranoski D. Putting China’s wetlands on the map[J]. Nature, 2009, 458(7235):134.
doi: 10.1038/458134a
[13] Kingsford R T, Bino G, Finlayson C M, et al. Ramsar wetlands of international importance-improving conservation outcomes[J]. Frontiers in Environmental Science, 2021,9:643367.
[14] Ramsar Convention Secretariat. Global Wetland Outlook:State of the World’s Wetlands and Their Services to People[R]. Gland, Switzerland: Ramsar Convention Secretariat, 2018.
[15] Bridgewater P, Kim R E. The Ramsar convention on wetlands at 50[J]. Nature Ecology & Evolution, 2021, 5(3):268-270.
[16] Davidson N C, Dinesen L, Fennessy S, et al. Trends in the ecological character of the world’s wetlands[J]. Marine and Freshwater Research, 2019, 71(1):127-138.
doi: 10.1071/MF18329
[17] Davidson N C, Dinesen L, Fennessy S, et al. A review of the adequacy of reporting to the Ramsar Convention on change in the ecological character of wetlands[J]. Marine and Freshwater Research, 2019, 71(1):117-126.
doi: 10.1071/MF18328
[18] Valuing wetlands[J/OL]. Nature Geoscience, 2021, 14(3):111-111.doi:10.1038/s41561-021-00713-4.
[19] Friedl M A, Sulla-Menashe D, Tan B, et al. MODIS Collection 5 global land cover:Algorithm refinements and characterization of new datasets[J]. Remote Sensing of Environment, 2010, 114(1):168-182.
doi: 10.1016/j.rse.2009.08.016
[20] Arino O, Ramoino F. Land Cover CCI Product User Guide Version 2.0[EB/OL]. 2017(2017-04-10) [2023-06-18].http://maps.elie.ucl.ac.be/CCI/viewer/download/ESACCI-LC-Ph2-PUGv2_2.0.pdf.
[21] Defourny P, Bicheron P, Brockmann C, et al. The first 300 m global land cover map for 2005 using ENVISAT MERIS time series:A product of the GlobCover system[M]. Ispra (Italy): Joint Research Centre of the European Commission, 2009.
[22] Buchhorn M, Bertels L, Smets B, et al. Copernicus Global Land Service:Land Cover 100 m:Version 3 Globe 2015—2019:Algorithm Theoretical Basis Document[R/OL]. Zenodo, 2020(2020-09-08)[2022-08-23].https://zenodo.org/record/3938968.
[23] Gong P, Wang J, Yu L, et al. Finer resolution observation and monitoring of global land cover:First mapping results with Landsat TM and ETM+ data[J]. International Journal of Remote Sensing, 2013, 34(7):2607-2654.
doi: 10.1080/01431161.2012.748992
[24] Zhang X, Liu L Y, Chen X D, et al. GLC_FCS30:Global land-cover product with fine classification system at 30 m using time-series Landsat imagery[J]. Earth System Science Data, 2021, 13(6):2753-2776.
doi: 10.5194/essd-13-2753-2021
[25] Chen J, Chen J, Liao A P, et al. Global land cover mapping at 30 m resolution:A POK-based operational approach[J]. ISPRS Journal of Photogrammetry and Remote Sensing, 2015,103:7-27.
[26] Liu H, Gong P, Wang J, et al. Production of global daily seamless data cubes and quantification of global land cover change from 1985 to 2020 - iMap World 1.0[J]. Remote Sensing of Environment, 2021,258:112364.
[27] Gong P, Liu H, Zhang M N, et al. Stable classification with limited sample:Transferring a 30-m resolution sample set collected in 2015 to mapping 10-m resolution global land cover in 2017[J]. Science Bulletin, 2019, 64(6):370-373.
doi: 10.1016/j.scib.2019.03.002
[28] Zanaga D, Van De Kerchove S R, De Keersmaecker W, et al. ESA WorldCover 10 m 2020 v100[R/OL]. Zenodo, 2021(2021-10-20).https://zenodo.org/record/5571936.
[29] Brown C F, Brumby S P, Guzder-Williams B, et al. Dynamic World,Near real-time global 10 m land use land cover mapping[J]. Scientific Data, 2022,9:251.
[30] Zhang X, Liu L Y, Zhao T T, et al. GWL_FCS30:A global 30 m wetland map with a fine classification system using multi-sourced and time-series remote sensing imagery in 2020[J]. Earth System Science Data Discussions, 2023, 15(1):265-293.
[31] Murray N J, Phinn S R, DeWitt M, et al. The global distribution and trajectory of tidal flats[J]. Nature, 2019, 565(7738):222-225.
doi: 10.1038/s41586-018-0805-8
[32] Bunting P, Rosenqvist A, Lucas R M, et al. The global mangrove watch:A new 2010 global baseline of mangrove extent[J]. Remote Sensing, 2018, 10(10):1669.
doi: 10.3390/rs10101669
[33] Pekel J F, Cottam A, Gorelick N, et al. High-resolution mapping of global surface water and its long-term changes[J]. Nature, 2016, 540(7633):418-422.
doi: 10.1038/nature20584
[34] Lehner B, Döll P. Development and validation of a global database of lakes,reservoirs and wetlands[J]. Journal of Hydrology, 2004, 296(1-4):1-22.
doi: 10.1016/j.jhydrol.2004.03.028
[35] McOwen C, Weatherdon L, Bochove J W, et al. A global map of saltmarshes[J]. Biodiversity Data Journal, 2017,5:e11764.
[36] Hu S J, Niu Z G, Chen Y F. Global wetland datasets:A review[J]. Wetlands, 2017, 37(5):807-817.
doi: 10.1007/s13157-017-0927-z
[37] Murray N J, Worthington T A, Bunting P, et al. High-resolution mapping of losses and gains of Earth’s tidal wetlands[J]. Science, 2022, 376(6594):744-749.
doi: 10.1126/science.abm9583
[38] Mao D H, Wang Z M, Du B J, et al. National wetland mapping in China:A new product resulting from object-based and hierarchical classification of Landsat 8 OLI images[J]. ISPRS Journal of Photogrammetry and Remote Sensing, 2020,164:11-25.
[39] Niu Z G, Gong P, Cheng X, et al. Geographical characteristics of China’s wetlands derived from remotely sensed data[J]. Science in China Series D:Earth Sciences, 2009, 52(6):723-738.
[40] Peng K F, Jiang W G, Hou P, et al. Continental-scale wetland mapping:A novel algorithm for detailed wetland types classification based on time series Sentinel-1/2 images[J]. Ecological Indicators, 2023,148:110113.
[41] Zhang Z, Xu N, Li Y F, et al. Sub-continental-scale mapping of tidal wetland composition for East Asia:A novel algorithm integrating satellite tide-level and phenological features[J]. Remote Sensing of Environment, 2022,269:112799.
[42] Yang L M, Jin S M, Danielson P, et al. A new generation of the United States National Land Cover Database:Requirements,research priorities,design,and implementation strategies[J]. ISPRS Journal of Photogrammetry and Remote Sensing, 2018,146:108-123.
[43] Gong P, Niu Z G, Cheng X, et al. China’s wetland change (1990—2000) determined by remote sensing[J]. Science China Earth Sciences, 2010, 53(7):1036-1042.
doi: 10.1007/s11430-010-4002-3
[44] 张海英, 牛振国, 许盼盼. 大型国际重要湿地边界及遥感分类数据集(2001、2013)[J]. 全球变化数据学报, 2017, 1(2):230-238.
Zhang H Y, Niu Z G, Xu P P, et al. The boundaries and remote sensing classification datasets on large wetlands of international importance in 2001 and 2013[J]. Journal of Global Change Data & Discovery, 2017, 1(2):230-238.
[45] Xing L W, Niu Z G, Xu P P, et al. Wetlands classification and assessment of Ramsar sites in China based on time series Moderate Resolution Imaging Spectroradiometer (MODIS) imagery[J]. Marine and Freshwater Research, 2018,69:658-668.
[46] Mao D H, Wang Z M, Wang Y, et al. Remote observations in China’s Ramsar sites:Wetland dynamics,anthropogenic threats,and implications for sustainable development goals[J]. Journal of Remote Sensing, 2021,2021:9849343.
[47] Gallant A. The challenges of remote monitoring of wetlands[J]. Remote Sensing, 2015, 7(8):10938-10950.
doi: 10.3390/rs70810938
[48] Liu L Y, Zhang X, Gao Y, et al. Finer-resolution mapping of global land cover:Recent developments,consistency analysis,and prospects[J]. Journal of Remote Sensing, 2021,2021:5289697.
[49] Gao Y, Liu L Y, Zhang X, et al. Consistency analysis and accuracy assessment of three global 30-m land-cover products over the European Union using the LUCAS dataset[J]. Remote Sensing, 2020, 12(21):3479.
doi: 10.3390/rs12213479
[50] 国家市场监督管理总局, 国家标准化管理委员会. GB/T 36296—2018 遥感产品真实性检验导则[S]. 北京: 中国标准出版社, 2018.
State Administration for Market Regulation, National standardization Administration. GB/T 36296—2018 Guide for the validation of remote sensing products[S]. Beijing: Standards Press of China, 2018.
[51] 国家市场监督管理总局, 国家标准化管理委员会. GB/T 41536—2022土地覆被遥感产品真实性检验[S]. 北京: 中国标准出版社, 2022.
State Administration for Market Regulation, National standardization Administration. GB/T 41536—2022 Validation of land cover remote sensing products[S]. Beijing: Standards Press of China, 2022.
[1] 刘昱甫, 白玉琪. 世界气象组织数据共享体系分析[J]. 自然资源遥感, 2025, 37(6): 1-9.
[2] 刘昱甫, 白玉琪. 国际耦合模式比较计划地球模拟数据全球共享体系分析[J]. 自然资源遥感, 2025, 37(6): 10-21.
[3] 张金华, 胡忠文, 张英慧, 张谦, 王敬哲, 邬国锋. 融合光学与LiDAR数据的实景三维模型山地植被制图[J]. 自然资源遥感, 2025, 37(6): 107-117.
[4] 葛利华, 王鹏, 张燕琴, 赵双林. 基于深度森林的遥感图像变化检测模型[J]. 自然资源遥感, 2025, 37(6): 118-127.
[5] 玄甲斌, 李如仁, 傅文学. 双极化优化的时序InSAR形变监测研究[J]. 自然资源遥感, 2025, 37(6): 128-137.
[6] 邓煜曦, 李佳田, 刘佳音, 罗欣, 杨涛. 结合大核选择性卷积增强模块的遥感图像匹配网络[J]. 自然资源遥感, 2025, 37(6): 138-147.
[7] 李凯旋, 刘俊伟, 王智博, 蒋文泷, 蔡汉林, 雷少刚, 杨永均. 基于Sentinel-2影像和BenchSegNet模型的露天煤矿台阶提取[J]. 自然资源遥感, 2025, 37(6): 148-155.
[8] 于冰, 张椿雨, 王金日, 刘国祥, 戴可人, 马德英. 基于SBAS-InSAR的白鹤滩库区长时序形变监测与滑坡隐患识别[J]. 自然资源遥感, 2025, 37(6): 156-168.
[9] 孙银锁, 方霄, 周东茂, 薛洪文, 苏俊武. 基于最优参数地理探测器模型的黄土高原植被动态时空序列分异及驱动力探究[J]. 自然资源遥感, 2025, 37(6): 169-181.
[10] 刘晋宇, 胡晋山, 康建荣, 朱益虎, 王胜利. 基于PSR和时序预测模型的露天煤矿区生态环境质量遥感评价[J]. 自然资源遥感, 2025, 37(6): 182-190.
[11] 张怡雯, 李凤霞, 张睿, 冯晓刚, 李萌, 胡墨清. 秦岭西安段生态系统服务时空演变与权衡/协同分析[J]. 自然资源遥感, 2025, 37(6): 191-200.
[12] 张莹, 陈运春, 郭晓飞, 吴晓聪, 陈凤林, 曾维军. 基于改进DeepLabV3plus架构的洱海流域水体精细提取[J]. 自然资源遥感, 2025, 37(6): 201-210.
[13] 王梓濛, 廖远鸿, 楼书含, 白玉琪. 森林城镇交界域划分方法对比研究——以加拿大艾伯塔省伍德布法罗市为例[J]. 自然资源遥感, 2025, 37(6): 211-218.
[14] 史晓辰, 罗晨颖, 张超, 王伟, 陈畅, 白雪川, 李少帅. 基于遥感数据的黑土区耕地生态防护评价[J]. 自然资源遥感, 2025, 37(6): 219-227.
[15] 臧明润, 廖远鸿, 陈舟, 白玉琪. 土地覆盖分类体系分析和总结[J]. 自然资源遥感, 2025, 37(6): 22-40.
Viewed
Full text


Abstract

Cited

  Shared   
  Discussed   
京ICP备05055290号-2
版权所有 © 2015 《自然资源遥感》编辑部
地址:北京学院路31号中国国土资源航空物探遥感中心 邮编:100083
电话:010-62060291/62060292 E-mail:zrzyyg@163.com
本系统由北京玛格泰克科技发展有限公司设计开发