Please wait a minute...
 
Remote Sensing for Natural Resources    2025, Vol. 37 Issue (5) : 254-266     DOI: 10.6046/zrzyyg.2024381
|
Spatiotemporal variations of 2000—2020 vegetation in China and their time-lag responses to climate
XU Ying1(), ZHANG Runze2, GUO Bing2()
1. Henan University of Economics and Law,School of Urban and Rural Planning,Zhengzhou 454000,China
2. School of Civil Engineering and Geomatics,Shandong University of Technology,Zibo 255000,China
Download: PDF(10872 KB)   HTML
Export: BibTeX | EndNote | Reference Manager | ProCite | RefWorks    
Abstract  

Amid global changes,China’s vegetation ecosystem has undergone profound transformations. However,there is an urgent need to thoroughly explore the mechanisms underlying the ecological evolution of vegetation in different ecological subregions and historical periods,as well as their differences. Therefore,based on normalized difference vegetation index (NDVI) data,this study investigated the spatiotemporal evolution of vegetation across six major ecological subregions in China and its driving mechanisms using methods such as the gravity center model,lag analysis,geographical detectors,and partial correlation analysis. The results indicate that from 2000 to 2020,mainland China witnessed a decreasing trend in vegetation coverage from east to west. Vegetation coverage increased in all six ecological subregions,with the highest increase (slope of change) observed in the south-central part of China (0.003 9) and the lowest in eastern China (0.002). From 2000 to 2010,regions with increased vegetation coverage accounted for 92%,and this proportion dropped to 71% from 2010 to 2020. Heterogeneous lag times were observed across different vegetation types in varying regions. Specifically,cultivated vegetation and shrubland generally exhibited a 1 to 3-month lag in response to precipitation;cultivated vegetation and coniferous forests presented a lag limited to the current month in relation to temperature,and broadleaf forests generally displayed a 1 to 2-month lag in response to temperature. Precipitation is identified as the dominant factor driving vegetation changes in North China and the northeastern,northwestern,and southwestern parts of China. In eastern China,land use and gross domestic product (GDP) represent the primary driving force behind vegetation change. In the south-central part of China,both precipitation and land use serve as dominant factors. The results of this study can provide significant data support for vegetation restoration and protection in different ecological regions.

Keywords normalized difference vegetation index (NDVI)      vegetation coverage      time-lag effect      gravity center      geographical detector      China     
ZTFLH:  TP79  
Corresponding Authors: GUO     E-mail: y_xu_lidar@huel.edu.cn;guobingjl@163.com
Issue Date: 28 October 2025
Service
E-mail this article
E-mail Alert
RSS
Articles by authors
Ying XU
Runze ZHANG
Bing GUO
Cite this article:   
Ying XU,Runze ZHANG,Bing GUO. Spatiotemporal variations of 2000—2020 vegetation in China and their time-lag responses to climate[J]. Remote Sensing for Natural Resources, 2025, 37(5): 254-266.
URL:  
https://www.gtzyyg.com/EN/10.6046/zrzyyg.2024381     OR     https://www.gtzyyg.com/EN/Y2025/V37/I5/254
Fig.1  Overview of the study area
变化类型 F检验显著性水平 NDVI变化斜率
明显增加 p≤0.01 k≥0.001
略微增加 0.01<p≤0.05 k≥0.001
基本不变 p>0.05 -0.001<k<0.001
略微减少 0.01<p≤0.05 k≤-0.001
明显减少 p≤0.01 k≤-0.001
Tab.1  Significance classification
Fig.2  Spatial distribution of different NDVI levels
Fig.3  Interannual variation of NDVI in different regions
Fig.4  Changes in NDVI levels across different periods
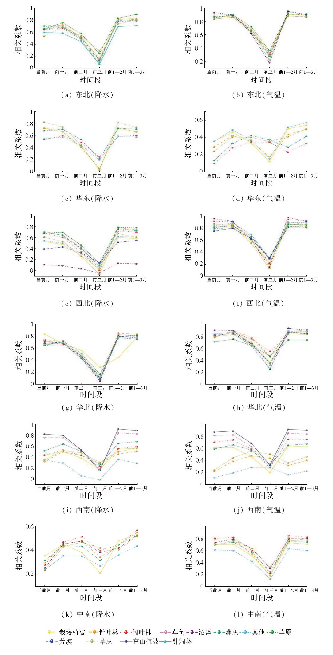
Fig.5  Spatial distribution of lag effects for different vegetation types
Fig.6  Lag effects in different regions
Fig.7  Interaction factors
[1] 颜明, 贺莉, 王随继, 等. 基于NDVI的1982—2012年黄河流域多时间尺度植被覆盖变化[J]. 中国水土保持科学, 2018, 16(3):86-94.
[1] Yan M, He L, Wang S J, et al. Changing trends of NDVI in the Yellow River Basin from 1982 to 2012 at different temporal scales[J]. Science of Soil and Water Conservation, 2018, 16(3):86-94.
[2] 王伟, 阿里木·赛买提, 吉力力·阿不都外力. 基于地理探测器模型的中亚NDVI时空变化特征及其驱动因子分析[J]. 国土资源遥感, 2019, 31(4):32-40.doi:10.6046/gtzyyg.2019.04.05.
[2] Wang W, Alim S, Jilili A. Geo-detector based spatio-temporal variation characteristics and driving factors analysis of NDVI in Central Asia[J]. Remote Sensing for Land and Resources, 2019, 31(4):32-40.doi:10.6046/gtzyyg.2019.04.05.
[3] 夏照华. 基于NDVI时间序列的植被动态变化研究[D]. 北京: 北京林业大学, 2007.
[3] Xia Z H. The studies on dynamic of vegetation based on NDVI time series[D]. Beijing: Beijing Forestry University, 2007.
[4] 唐倩玉, 李远航, 胡孟然, 等. 太行山地区1973—2022年暴雨时空演变特征分析[J]. 信阳师范学院学报(自然科学版), 2024, 37(4):524-531.
[4] Tang Q Y, Li Y H, Hu M R, et al. Analysis of the spatiotemporal variations in heavy rainfall events in the Taihang moutainous region from 1973 to 2022[J]. Journal of Xinyang Normal University (Natural Science Edition), 2024, 37(4):524-531.
[5] 鲁佳琪, 孟凡浩, 罗敏, 等. 黄河流域内蒙古段气象干旱与水文干旱变化对植被NDVI的影响[J]. 人民珠江, 2024, 45(10):51-64.
[5] Lu J Q, Meng F H, Luo M, et al. Effect of meteorological and hydrological drought changes on vegetation NDVI in Inner Mongolia section of Yellow River Basin[J]. Pearl River, 2024, 45(10):51-64.
[6] 袁江龙, 赵宏慧, 刘晓煌, 等. 2000—2020年昆仑山植被覆盖度时空变化驱动力分析及生态评价[J]. 中国地质, 2024, 51(6):1822-1838.
[6] Yuan J L, Zhao H H, Liu X H, et al. Driving force analysis and eco-logical assessment of spatiotemporal changes in vegetation cover in the Kunlun Mountains from 2000 to 2020[J]. Geology in China, 2024, 51(6):1822-1838.
[7] 胡仁杰, 陈璇黎, 陈金, 等. MODIS NDVI对高寒草甸草地生物量遥感估测饱和性评估研究——以青藏高原东缘为例[J]. 生态学报, 2024, 44(14):6357-6372.
[7] Hu R J, Chen X L, Chen J, et al. MODIS NDVI saturation assessment of alpine meadow grassland biomass estimation using remote sensing:A case study in the eastern edge of the Qinghai Tibet Plateau[J]. Acta Ecologica Sinica, 2024, 44(14):6357-6372.
[8] 申子傲, 吴静, 李纯斌. 2000—2020年河西内陆河流域植被覆盖时空变化特征及其驱动力[J]. 中国沙漠, 2024, 44(3):119-127.
doi: 10.7522/j.issn.1000-694X.2023.00180
[8] Shen Z A, Wu J, Li C B. Temporal and spatial changes of vegetation cover and its driving forces in the Hexi inland river basin from 2000 to 2020[J]. Journal of Desert Research, 2024, 44(3):119-127.
doi: 10.7522/j.issn.1000-694X.2023.00180
[9] Mason T J, Honeysett J, Thomas R F, et al. Monitoring vital signs:Wetland vegetation responses to hydrological resources in the Macquarie Marshes NSW,Australia[J]. Austral Ecology, 2022, 47(6):1296-1314.
[10] Muradyan V, Tepanosyan G, Asmaryan S, et al. Relationships between NDVI and climatic factors in mountain ecosystems:A case study of Armenia[J]. Remote Sensing Applications:Society and Environment, 2019, 14:158-169.
[11] 刘殿锋, 王振松, 邱明丽. 基于系统耦合模拟的土地利用变化及其区域生境质量变化分析[J]. 信阳师范学院学报(自然科学版), 2025, 38(3):257-264.
[11] Liu D F, Wang Z S, Qiu M L. Response of regional habitat quality to predieted land use change based on system coupling simulation[J]. Journal of Xinyang Normal University:Natural Science Edition, 2025, 38(3):257-264.
[12] 陈亮, 孙钰蘅. 基于遥感生态指数的河南连康山国家级自然保护区生态环境质量时空变化研究[J]. 信阳师范学院学报(自然科学版), 2024, 37(1):11-17.
[12] Chen L, Sun Y H. The spatiotemporal changes of ecological environment quality in Henan Liankang Mountain national nature reserve based on remote sensing ecological index[J]. Journal of Xinyang Normal University (Natural Science Edition), 2024, 37(1):11-17.
[13] 何楷迪, 孙建, 陈秋计. 气候要素和土壤质地对青藏高原草地净初级生产力和降水利用率的影响[J]. 草业科学, 2019, 36(4):1053-1065.
[13] He K D, Sun J, Chen Q J. Response of climate and soil texture to net primary productivity and precipitation-use efficiency in the Tibetan Plateau[J]. Pratacultural Science, 2019, 36(4):1053-1065.
[14] 李美丽, 尹礼昌, 张园, 等. 基于MODIS-EVI的西南地区植被覆盖时空变化及驱动因素研究[J]. 生态学报, 2021, 41(3):1138-1147.
[14] Li M L, Yin L C, Zhang Y, et al. Spatio-temporal dynamics of fractional vegetation coverage based on MODIS-EVI and its driving factors in Southwest China[J]. Acta Ecologica Sinica, 2021, 41(3):1138-1147.
[15] 王劲峰, 徐成东. 地理探测器:原理与展望[J]. 地理学报, 2017, 72(1):116-134.
doi: 10.11821/dlxb201701010
[15] Wang J F, Xu C D. Geodetector:Principle and prospective[J]. Acta Geographica Sinica, 2017, 72(1):116-134.
[16] 杜宜臻, 刘菲, 柳心雨, 等. 三江源区植被NDVI时空变化特征及其驱动因素分析[J]. 绿色科技, 2024, 26(22):31-37.
[16] Du Y Z, Liu F, Liu X Y, et al. Spatiotemporal variation of NDVI and its driving factors in the three rivers source region[J]. Journal of Green Science and Technology, 2024, 26(22):31-37.
[17] 黎梅, 李春雨, 张玲艺, 等. 吕梁山植被NDVI时空变化及气候因子探测[J]. 科技和产业, 2024, 24(21):306-310.
[17] Li M, Li C Y, Zhang L Y, et al. Temporal and spatial variations of NDVI and climate factors in Lvliang Mountains[J]. Science Technology and Industry, 2024, 24(21):306-310.
[18] 孙智杰, 廖媛, 余波, 等. 鄂东南矿集区2000—2022年NDVI时空变化及其驱动因素分析[J]. 环境生态学, 2024, 6(10):19-24.
[18] Sun Z J, Liao Y, Yu B, et al. Spatial-temporal pattern of NDVI and its driving factors in the mining district of Southeast Hubei from 2000 to 2022[J]. Environmental Ecology, 2024, 6(10):19-24.
[19] 姜萍. 1982—2015年中国植被覆盖变化及其对气候变化的敏感性分析[D]. 兰州: 兰州大学, 2022.
[19] Jiang P. Analysis of vegetation change in China and its sensitivity to climate variability from 1982 to 2015[D]. Lanzhou: Lanzhou University, 2022.
[20] 仇少君, 郝小雨, 赵士诚, 等. 黑土地肥力下降成因与保护利用对策——基于养分资源高效利用视角分析[J]. 植物营养与肥料学报, 2025, 31(1):1-11.
[20] Chou S J, Hao X Y, Zhao S C, et al. Causes of fertility decline and countermeasures for protection and utilization of upland black soil—An analysis from the perspective of nutrient resources high-efficient utilization[J]. Journal of Plant Nutrition and Fertilizers, 2025, 31(1):1-11.
[21] 张宇, 余振, 栾军伟, 等. 1982—2020年东北森林带植被绿度时空变化特征[J]. 生态学报, 2023, 43(16):6670-6681.
[21] Zhang Y, Yu Z,Luan, J W, et al. Spatiotemporal variations of vegetation greenness in the forest belt of Northeast China during 1982—2020[J]. Acta Ecologica Sinica, 2023, 43(16):6670-6681.
[22] 孙钰蘅, 张辰光, 刘翼泽, 等. 1970—2019年河南省气温变化特征及其对ENSO事件的响应[J]. 信阳师范学院学报(自然科学版), 2023, 36(4):528-534.
[22] Sun Y H, Zhang C G, Liu Y Z, et al. Characteristics of temperature change and its response to ENSO events in Henan Province during 1970—2019[J]. Journal of Xinyang Normal University (Natural Science Edition), 2023, 36(4):528-534.
[23] 薛港. 2001—2020年中国植被净初级生产力时空变化及其影响因素分析[D]. 哈尔滨: 东北林业大学, 2023.
[23] Xue G. Spatial-temporal variation of net primary productivity of vegetation in China and its influencing factors from 2001 to 2020[D]. Harbin: Northeast Forestry University, 2023.
[24] 宁晓春, 杨明新, 曹文强, 等. 2000—2022年三江源植被覆盖度时空变化格局及其气候驱动机制[J]. 测绘通报, 2024(12):70-76,83.
doi: 10.13474/j.cnki.11-2246.2024.1211
[24] Ning X C, Yang M X, Cao W Q, et al. Spatial-temporal pattern of vegetation coverage and its climate driving mechanism in the Three Rivers Headwaters region from 2000—2022[J]. Bulletin of Surveying and Mapping, 2024(12):70-76,83.
doi: 10.13474/j.cnki.11-2246.2024.1211
[25] 张强. 2009:极端天气的成因和预防[N]. 光明日报,2009-08-17(10).
[25] Zhang Q, 2009:The causes and prevention of extreme weather events[N]. Guangming Daily,2009-08-17(10).
[26] 中共中央国务院. 国务院关于全国林地保护利用规划纲要(2010—2020年)的批复[EB/OL].(2010-7-25) [2024-9-20]. https://www.waizi.org.cn/law/9434.html.
url: https://www.waizi.org.cn/law/9434.html
[26] Central Committee of the Communist Party of China and the State Council. Approval of the National Forest Protection and Utilization Planning Outline (2010—2020)[EB/OL].(2010-7-25) [2024-9-20]. https://www.waizi.org.cn/law/9434.html.
url: https://www.waizi.org.cn/law/9434.html
[27] 谢勇, 王爽, 王恒阳, 等. 东北三省NDVI时空变化特征及对气候因子的响应[J]. 气象与环境学报, 2024, 40(1):71-78.
[27] Xie Y, Wang S, Wang H Y, et al. Spatio-temporal variation characteristics of NDVI in the three northeast provinces and their responses to climatic factors[J]. Journal of Meteorology and Environment, 2024, 40(1):71-78.
[28] 程潇, 林珏琪, 徐学闯, 等. 泉州市城镇化建设对植被覆盖影响的遥感分析[J]. 莆田学院学报, 2024, 31(5):91-97,108.
[28] Cheng X, Lin Y Q, Xu X C, et al. Remote sensing analysis of the impact of urbanization construction on vegetation cover in Quanzhou City[J]. Journal of Putian University, 2024, 31(5):91-97,108.
[29] 王红. 绿洲城镇化与水土资源利用效益协调度分析——以武威市为例[D]. 兰州: 西北师范大学, 2013.
[29] Wang H. Coordination degree analysis of the oasis towns of soil and water resource utilization efficiency:Taking Wuwei City as an example[D]. Lanzhou: Northwest Normal University, 2013.
[30] 江慧娴, 董文杰. 气候变化和人类活动对华北地区植被NDVI的影响研究[J]. 高原气象, 2024, 43(5):1312-1328.
doi: 10.7522/j.issn.1000-0534.2024.00013
[30] Jiang H X, Dong W J. Impacts of climate change and human activities on NDVI change in North China[J]. Plateau Meteorology, 2024, 43(5):1312-1328.
doi: 10.7522/j.issn.1000-0534.2024.00013
[31] 裴志林, 曹晓娟, 王冬, 等. 内蒙古植被覆盖时空变化特征及其对人类活动的响应[J]. 干旱区研究, 2024, 41(4):629-638.
doi: 10.13866/j.azr.2024.04.09
[31] Pei Z L, Cao X J, Wang D, et al. Spatiotemporal variation in vegetation coverage in Inner Mongolia and its response to human activities[J]. Arid Zone Research, 2024, 41(4):629-638.
doi: 10.13866/j.azr.2024.04.09
[32] 田佳西. 西北地区气候暖湿化演变趋势及其对植被恢复影响研究[D]. 南京: 南京林业大学, 2023.
[32] Tian J X. Study on the evolution of warmer and wetter climate and its influence on vegetation restoration in Northwest China[D]. Nanjing: Nanjing Forestry University, 2023.
[33] 刘雨亭, 王磊, 李谢辉, 等. 西南地区2000—2020年植被覆盖度时空变化与影响因素分析[J]. 高原气象, 2024, 43(1):264-276.
doi: 10.7522/j.issn.1000-0534.2023.00052
[33] Liu Y T, Wang L, Li X H, et al. Analysis on spatio-temporal variability of fractional vegetation cover and influencing factors from 2000 to 2020 in southwestern China[J]. Plateau Meteorology, 2024, 43(1):264-276.
doi: 10.7522/j.issn.1000-0534.2023.00052
[34] 陈正满, 李贺鹏, 朱弘. 台州市“一江两溪” 河岸带植被分布格局及其环境解释[J]. 信阳师范学院学报(自然科学版), 2024, 37(3):329-336.
[34] Chen Z M, Li H P, Zhu H. Vegetation distribution pattern of plant community and habitat explanation analysis in the “one river and two streams” riparian zone of Taizhou[J]. Journal of Xinyang Normal University (Natural Science Edition), 2024, 37(3):329-336.
[1] JING Ruofan, LIAO Jingjuan, MA Shanmu. Monitoring 2018—2022 changes in lake levels across China using ICESat-2 data[J]. Remote Sensing for Natural Resources, 2025, 37(5): 1-14.
[2] XING Xiaotian, WANG Qi, ZHAO Jiajun, LIU Pudong, ZHANG Jingyuan. Investigating land use and carbon storage changes in Jinan metropolitan circle based on the InVEST-PLUS coupled model[J]. Remote Sensing for Natural Resources, 2025, 37(4): 118-130.
[3] JIN Tingting, XI Wenfei, QIAN Tanghui, GUO Junqi, HONG Wenyu, DING Zitian, GUI Fuyu. Exploring the spatial distribution of surface deformations along the China-Laos railway based on SBAS-InSAR technology: Taking the Jinghong section as an example[J]. Remote Sensing for Natural Resources, 2025, 37(4): 232-240.
[4] LI Ruikai, ZHAO Zongze, TANG Xiaojie, ZHANG Jiayun, WANG Guan, ZHANG Lijuan. Spatiotemporal analysis of economy in China’s primary cities affected by the COVID-19 pandemic based on remote sensing of night light[J]. Remote Sensing for Natural Resources, 2025, 37(1): 243-251.
[5] SHI Ying, BIE Qiang, SU Xiaojie, LI Xinzhang. Impacts of changes in land cover on solar radiation absorption in northwestern China[J]. Remote Sensing for Natural Resources, 2024, 36(4): 260-271.
[6] LING Xiaolu, CHEN Chaorong, GUO Weidong, QIN Kai, ZHANG Jinlong. Comprehensive evaluation of ESA CCI soil moisture data in eastern China[J]. Remote Sensing for Natural Resources, 2024, 36(4): 92-106.
[7] LI Guangzhe, WANG Hao, CAO Yinxuan, ZHANG Xiaoyu, NING Xiaogang. Spatio-temporal evolution and influencing factors of ecological environment quality in the Changsha-Zhuzhou-Xiangtan urban agglomeration[J]. Remote Sensing for Natural Resources, 2023, 35(4): 244-254.
[8] TIAN Liulan, LYU Siyu, WU Zhaopeng, WANG Juanjuan, SHI Xinpeng. Changes and spatial conflict measurement of land use in Urumqi City[J]. Remote Sensing for Natural Resources, 2023, 35(4): 282-291.
[9] WANG Yelan, YANG Xin, HAO Lina. Spatio-temporal changes in the normalized difference vegetation index of vegetation in the western Sichuan Plateau during 2001—2021 and their driving factors[J]. Remote Sensing for Natural Resources, 2023, 35(3): 212-220.
[10] PANG Xin, LIU Jun. Effects of climate changes on the NDVI of vegetation in Asia[J]. Remote Sensing for Natural Resources, 2023, 35(2): 295-305.
[11] SHI Shushu, DOU Yinyin, CHEN Yongqiang, KUANG Wenhui. Remote sensing monitoring based analysis of the spatio-temporal changing characteristics of regional urban expansion and urban land cover in China’s coastal zones[J]. Remote Sensing for Natural Resources, 2022, 34(4): 76-86.
[12] LIU Bailu, GUAN Lei. An improved method for thermal stress detection of coral bleaching in the South China Sea[J]. Remote Sensing for Natural Resources, 2021, 33(4): 136-142.
[13] CHEN Fuqiang, LIU Yalin, GAO Xu, SONG Minghui, ZHANG Zhanzhong. Application of remote sensing technology to the engineering geological survey for the construction of the China-Nepal railway[J]. Remote Sensing for Natural Resources, 2021, 33(4): 219-226.
[14] JIN Chengming, YANG Xingwang, JING Haitao. A RS-based study on changes in fractional vegetation cover in North Shaanxi and their driving factors[J]. Remote Sensing for Natural Resources, 2021, 33(4): 258-264.
[15] WANG Ping, MAO Kebiao, MENG Fei, YUAN Zijin. Spatiotemporal evolution of sea surface temperature in the East China Sea[J]. Remote Sensing for Land & Resources, 2020, 32(4): 227-235.
Viewed
Full text


Abstract

Cited

  Shared   
  Discussed   
京ICP备05055290号-2
Copyright © 2017 Remote Sensing for Natural Resources
Support by Beijing Magtech